Официальное опубликование правовых актов
ОФИЦИАЛЬНОЕ ОПУБЛИКОВАНИЕ
Постановление Правительства Луганской Народной Республики от 28.12.2024 № 333/24
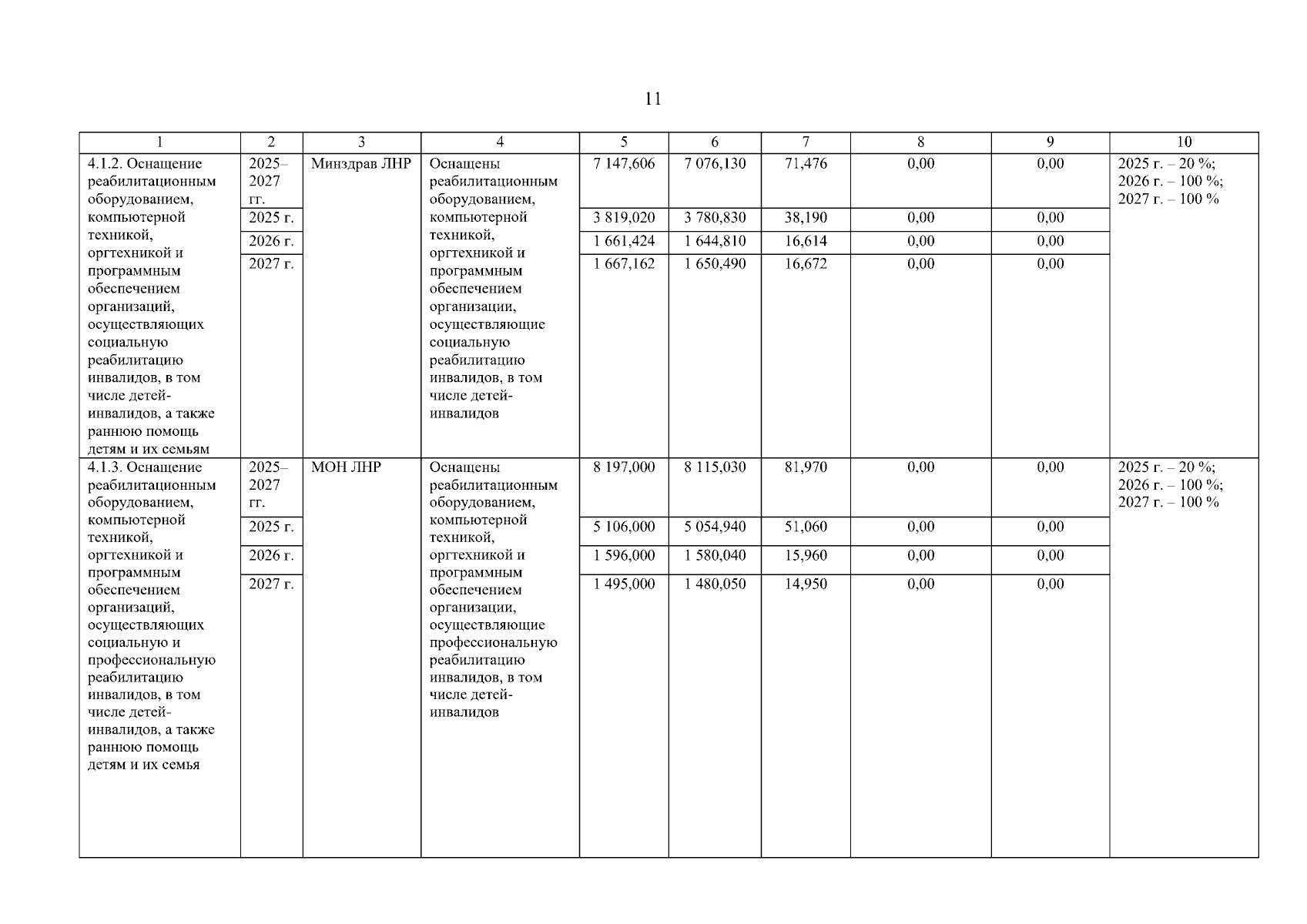
"Об утверждении Перечня мероприятий (результатов), при реализации которых возникают расходные обязательства Луганской Народной Республики, в целях софинансирования которых предоставляются субсидии из федерального бюджета бюджетам субъектов Российской Федерации, возникающих при реализации государственных программ (подпрограмм) субъектов Российской Федерации, по формированию системы комплексной реабилитации и абилитации инвалидов, в том числе детей-инвалидов, а также порядка его реализации"
Номер опубликования: 8100202412280014
Дата опубликования: 28.12.2024
Страница №13 из 33:
Увеличить