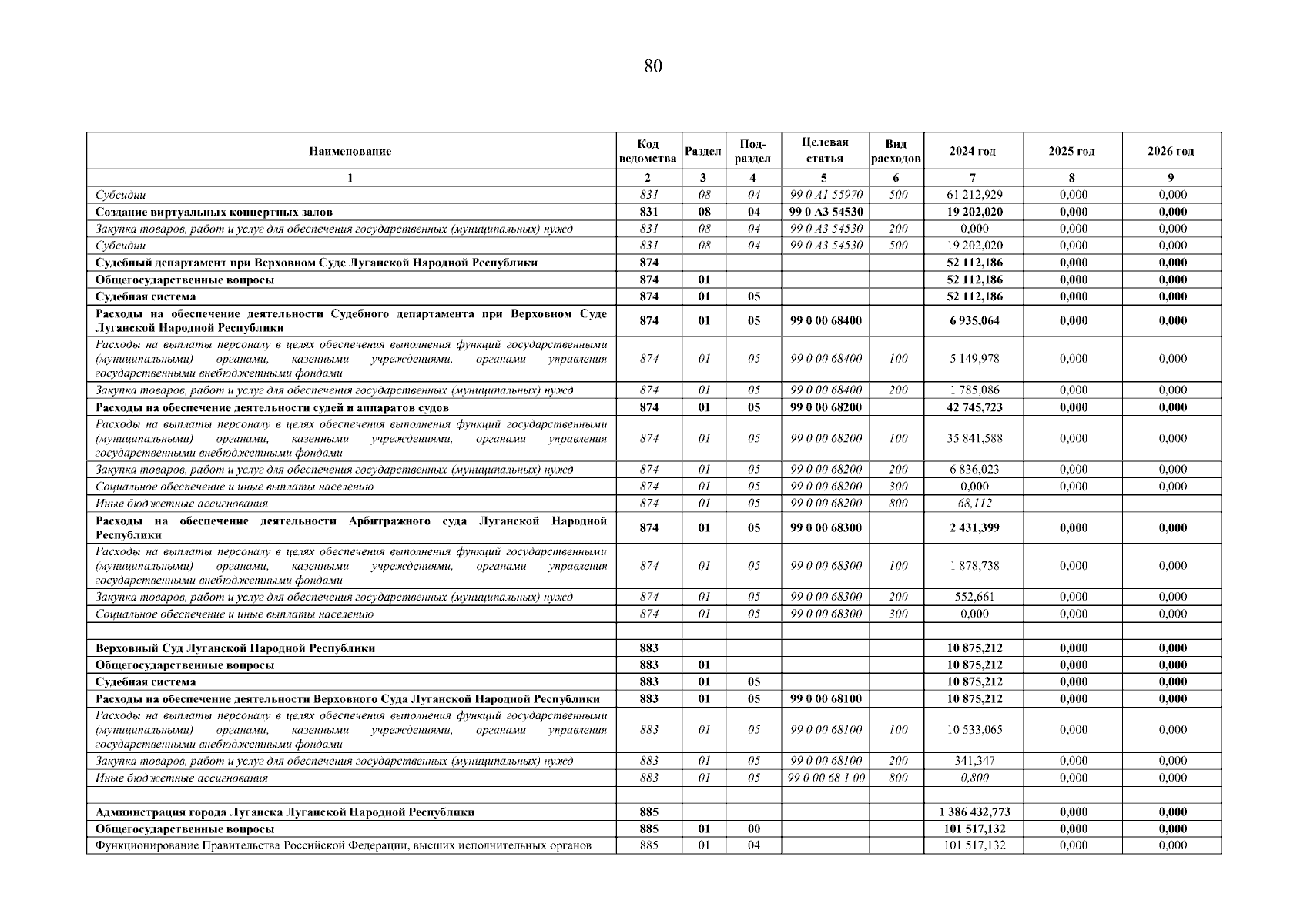
Закон Луганской Народной Республики от 08.11.2024 № 106-I
"О внесении изменений в Закон Луганской Народной Республики "О бюджете Луганской Народной Республики на 2024 год и на плановый период 2025 и 2026 годов"
"О внесении изменений в Закон Луганской Народной Республики "О бюджете Луганской Народной Республики на 2024 год и на плановый период 2025 и 2026 годов"
Номер опубликования: 8100202411080001
Дата опубликования:
08.11.2024
