Официальное опубликование правовых актов
ОФИЦИАЛЬНОЕ ОПУБЛИКОВАНИЕ
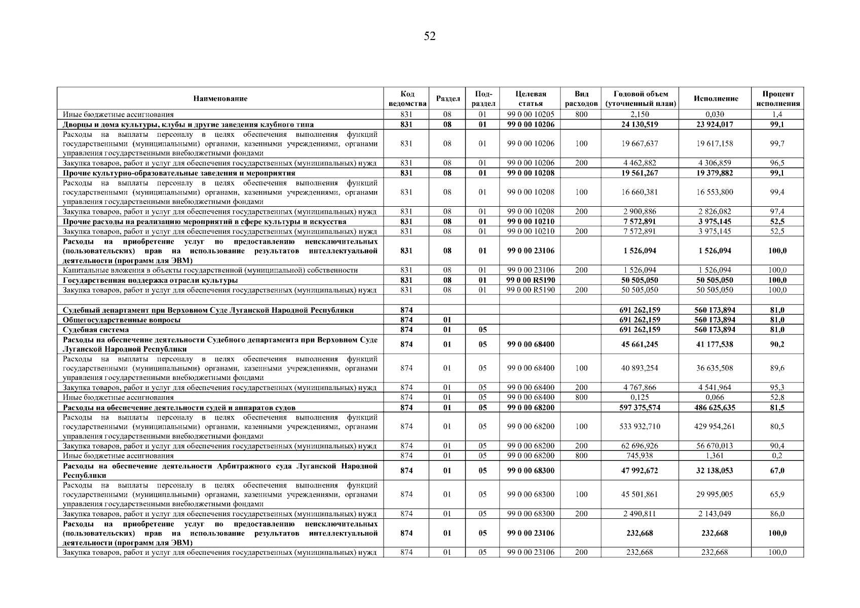
Закон Луганской Народной Республики от 26.07.2024 № 80-I
"Об исполнении бюджета Луганской Народной Республики за 2023 год"
Номер опубликования: 8100202407290001
Дата опубликования: 29.07.2024
Страница №52 из 77:
Увеличить