Официальное опубликование правовых актов
ОФИЦИАЛЬНОЕ ОПУБЛИКОВАНИЕ
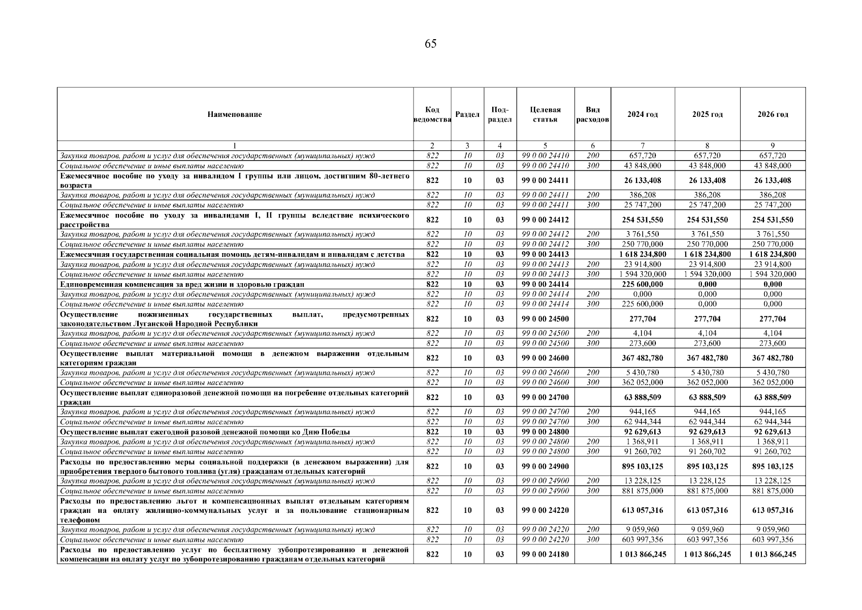
Закон Луганской Народной Республики от 08.07.2024 № 78-I
"О внесении изменений в Закон Луганской Народной Республики "О бюджете Луганской Народной Республики на 2024 год и на плановый период 2025 и 2026 годов"
Номер опубликования: 8100202407080001
Дата опубликования: 08.07.2024
Страница №65 из 88:
Увеличить