Официальное опубликование правовых актов
ОФИЦИАЛЬНОЕ ОПУБЛИКОВАНИЕ
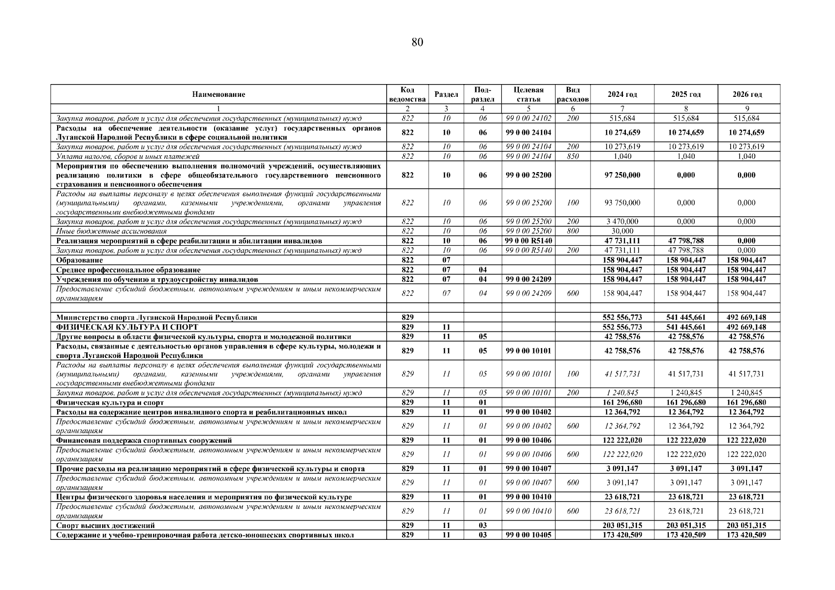
Закон Луганской Народной Республики от 29.12.2023 № 30-I
"О бюджете Луганской Народной Республики на 2024 год и на плановый период 2025 и 2026 годов"
Номер опубликования: 8100202312290009
Дата опубликования: 29.12.2023
Страница №80 из 93:
Увеличить