Официальное опубликование правовых актов
ОФИЦИАЛЬНОЕ ОПУБЛИКОВАНИЕ
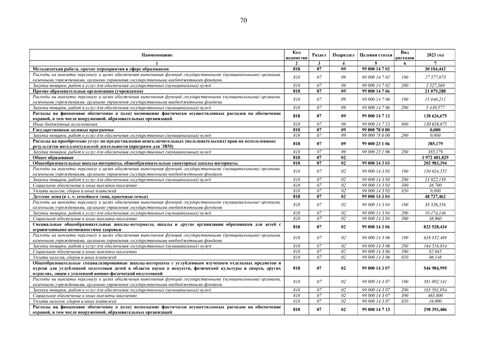
Закон Луганской Народной Республики от 21.12.2023 № 29-I
"О внесении изменений в Закон Луганской Народной Республики "О бюджете Луганской Народной Республики на 2023 год"
Номер опубликования: 8100202312220004
Дата опубликования: 22.12.2023
Страница №70 из 182:
Увеличить