Официальное опубликование правовых актов
ОФИЦИАЛЬНОЕ ОПУБЛИКОВАНИЕ
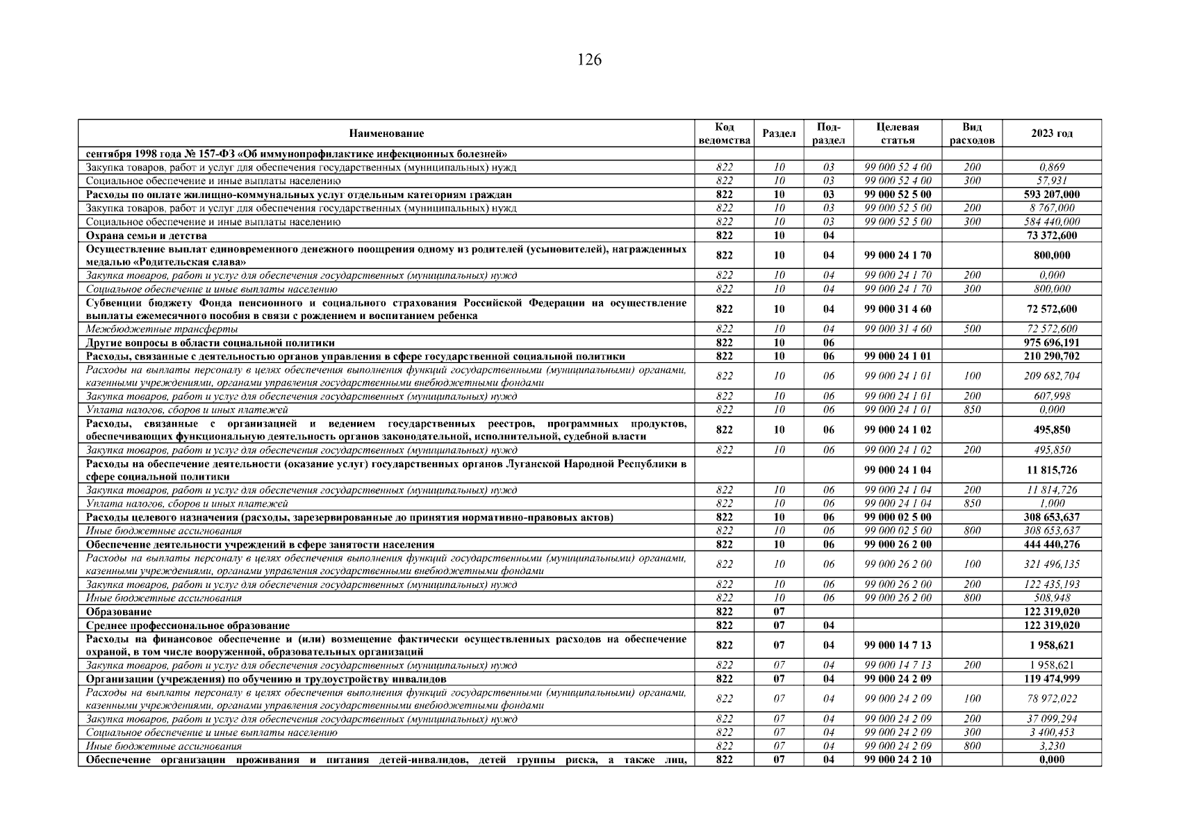
Закон Луганской Народной Республики от 16.11.2023 № 13-I
"О внесении изменений в Закон Луганской Народной Республики "О бюджете Луганской Народной Республики на 2023 год"
Номер опубликования: 8100202311170002
Дата опубликования: 17.11.2023
Страница №126 из 165:
Увеличить