Официальное опубликование правовых актов
ОФИЦИАЛЬНОЕ ОПУБЛИКОВАНИЕ
Приказ Главного управления геологии и геоэкологии Донецкой Народной Республики от 19.07.2024 № 56
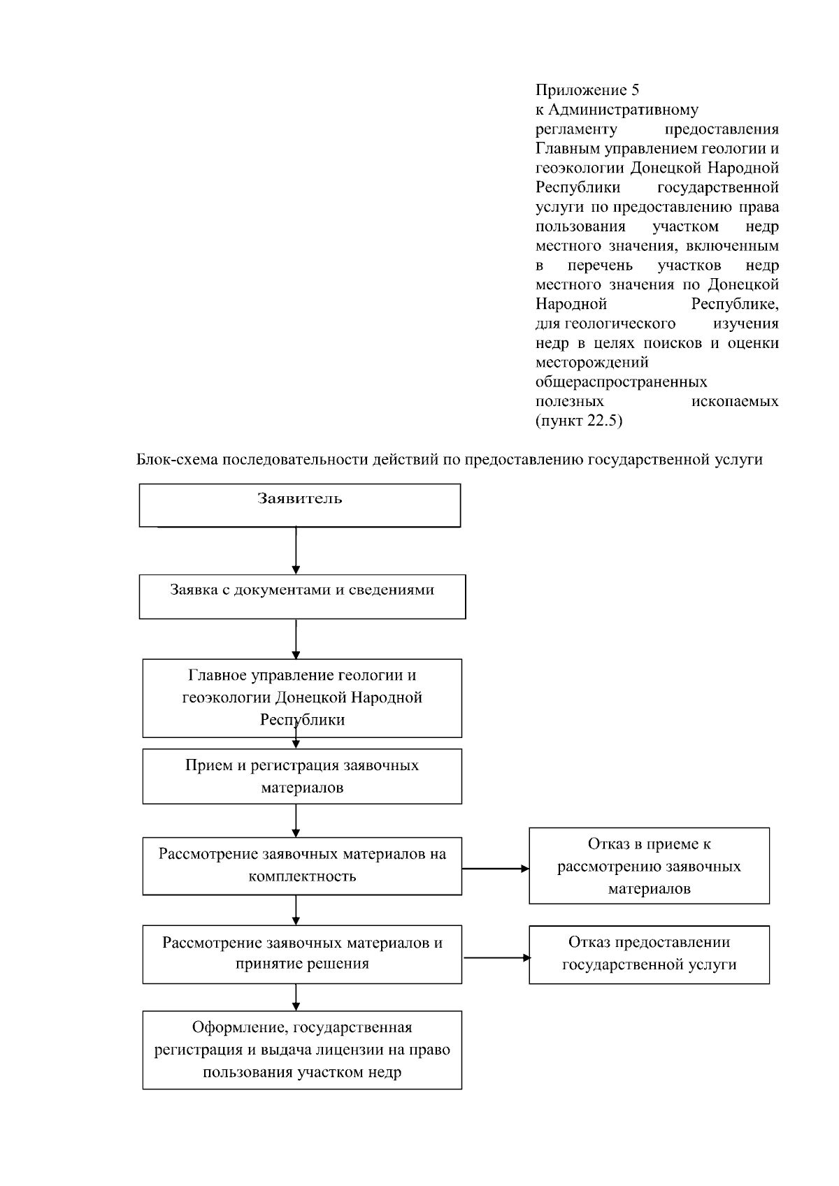
"Об утверждении Административного регламента предоставления Главным управлением геологии и геоэкологии Донецкой Народной Республики государственной услуги на право пользования участком недр местного значения, включенным в перечень участков недр местного значения по Донецкой Народной Республике, для геологического изучения недр в целях поисков и оценки месторождений общераспространенных полезных ископаемых"
(Зарегистрирован 26.07.2024 № 5758)
Номер опубликования: 8001202407300001
Дата опубликования: 30.07.2024
Страница №39 из 39:
Увеличить