Официальное опубликование правовых актов
ОФИЦИАЛЬНОЕ ОПУБЛИКОВАНИЕ
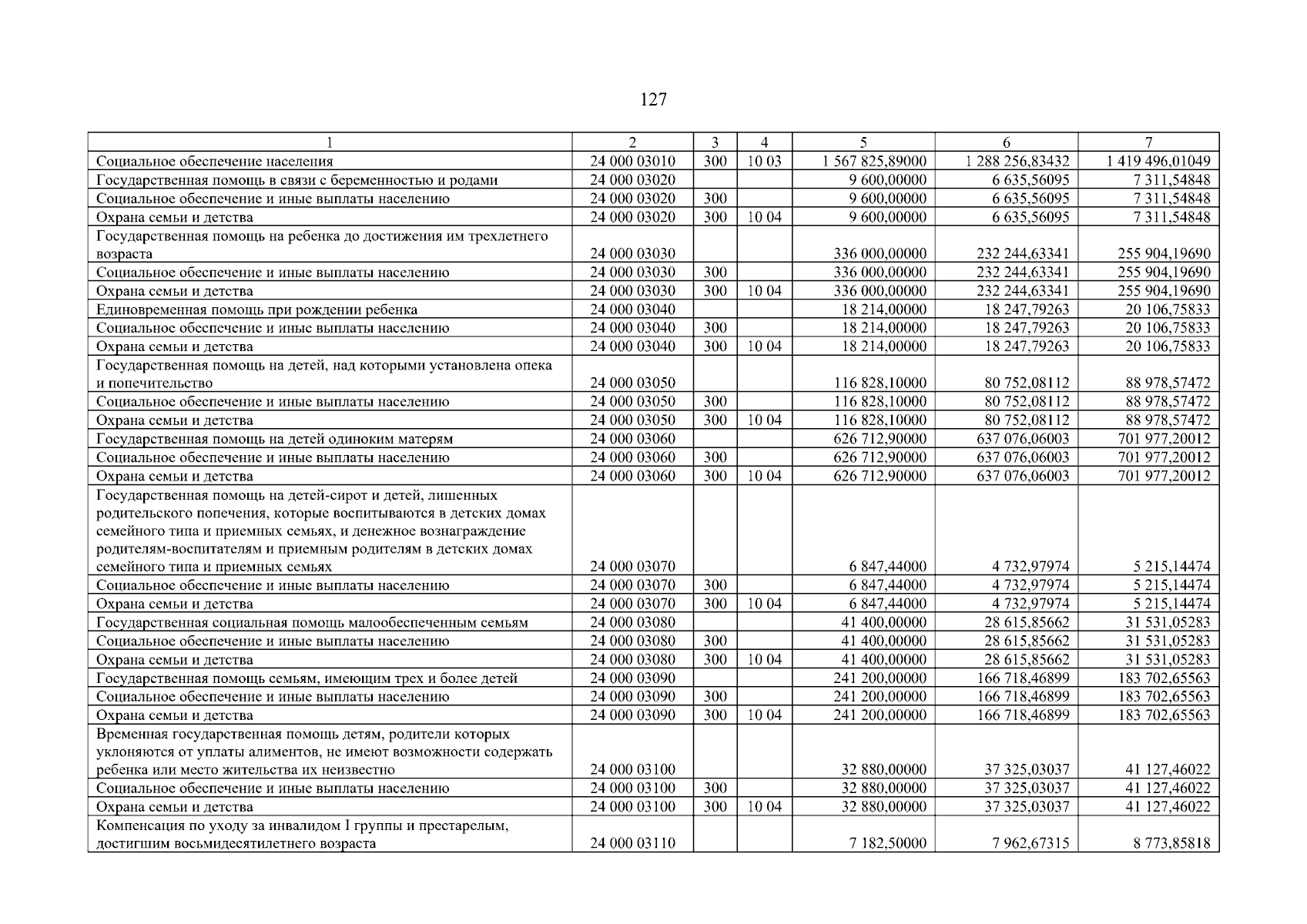
Закон Донецкой Народной Республики от 24.12.2025 № 241-РЗ
"О внесении изменений в Закон Донецкой Народной Республики "О бюджете Донецкой Народной Республики на 2025 год и на плановый период 2026 и 2027 годов"
Номер опубликования: 8000202512260039
Дата опубликования: 26.12.2025
Страница №127 из 203:
Увеличить