Официальное опубликование правовых актов
ОФИЦИАЛЬНОЕ ОПУБЛИКОВАНИЕ
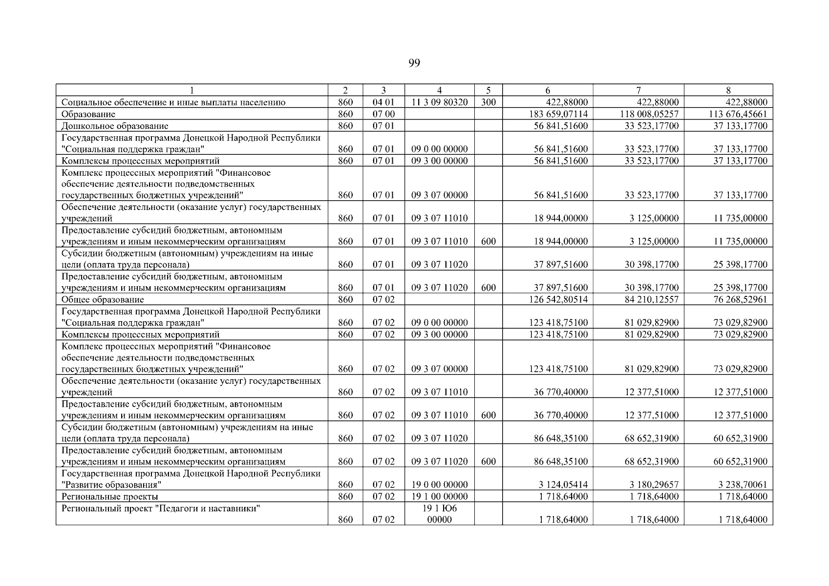
Закон Донецкой Народной Республики от 12.12.2025 № 233-РЗ
"О бюджете Донецкой Народной Республики на 2026 год и на плановый период 2027 и 2028 годов"
Номер опубликования: 8000202512160006
Дата опубликования: 16.12.2025
Страница №99 из 274:
Увеличить