Официальное опубликование правовых актов
ОФИЦИАЛЬНОЕ ОПУБЛИКОВАНИЕ
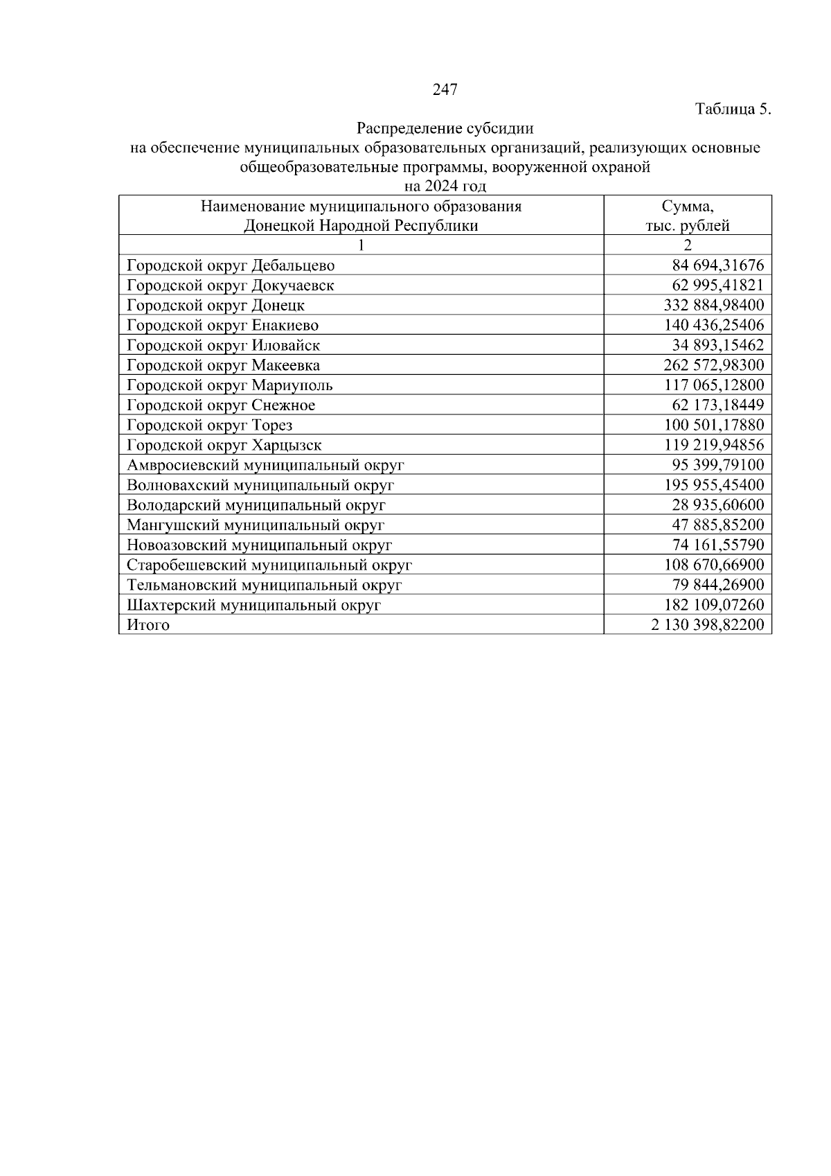
Закон Донецкой Народной Республики от 18.09.2024 № 107-РЗ
"О внесении изменений в Закон Донецкой Народной Республики "О бюджете Донецкой Народной Республики на 2024 год"
Номер опубликования: 8000202409190003
Дата опубликования: 19.09.2024
Страница №247 из 265:
Увеличить