Официальное опубликование правовых актов
ОФИЦИАЛЬНОЕ ОПУБЛИКОВАНИЕ
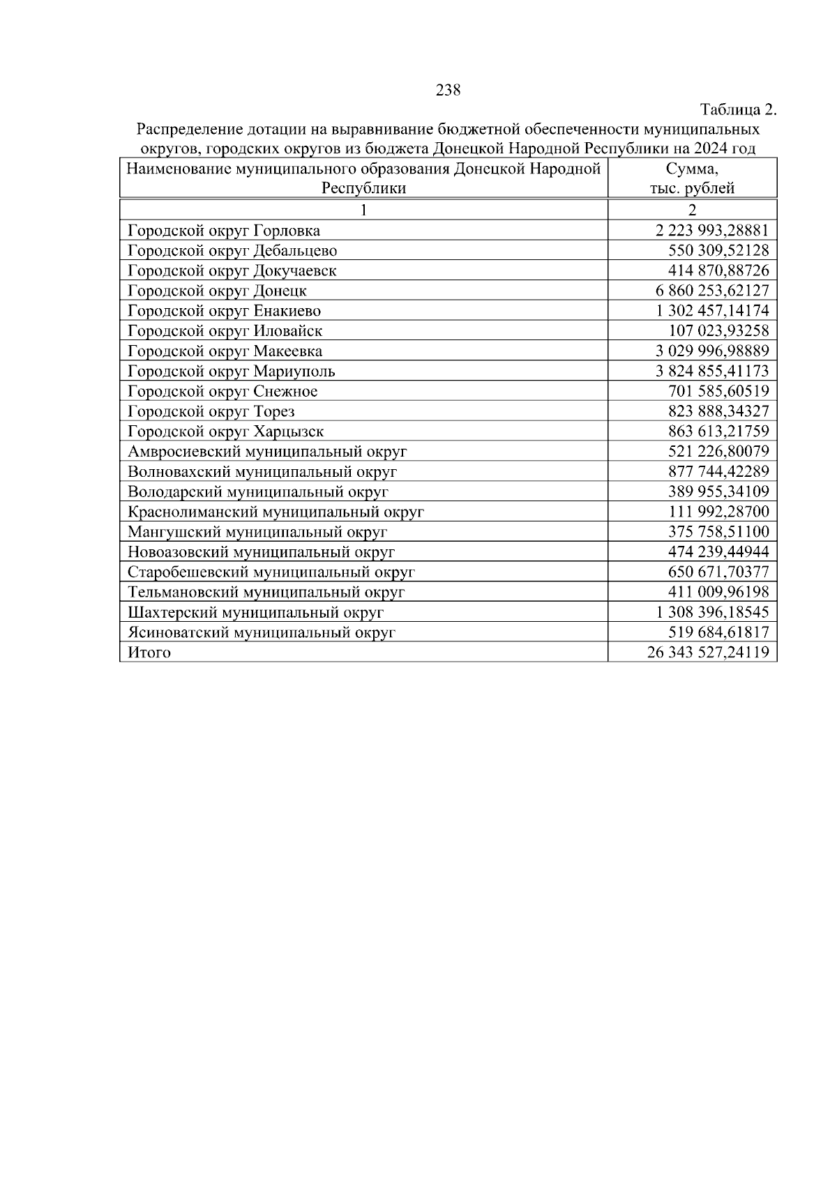
Закон Донецкой Народной Республики от 15.03.2024 № 65-РЗ
"О внесении изменений в Закон Донецкой Народной Республики "О бюджете Донецкой Народной Республики на 2024 год"
Номер опубликования: 8000202403180012
Дата опубликования: 18.03.2024
Страница №238 из 261:
Увеличить