Официальное опубликование правовых актов
ОФИЦИАЛЬНОЕ ОПУБЛИКОВАНИЕ
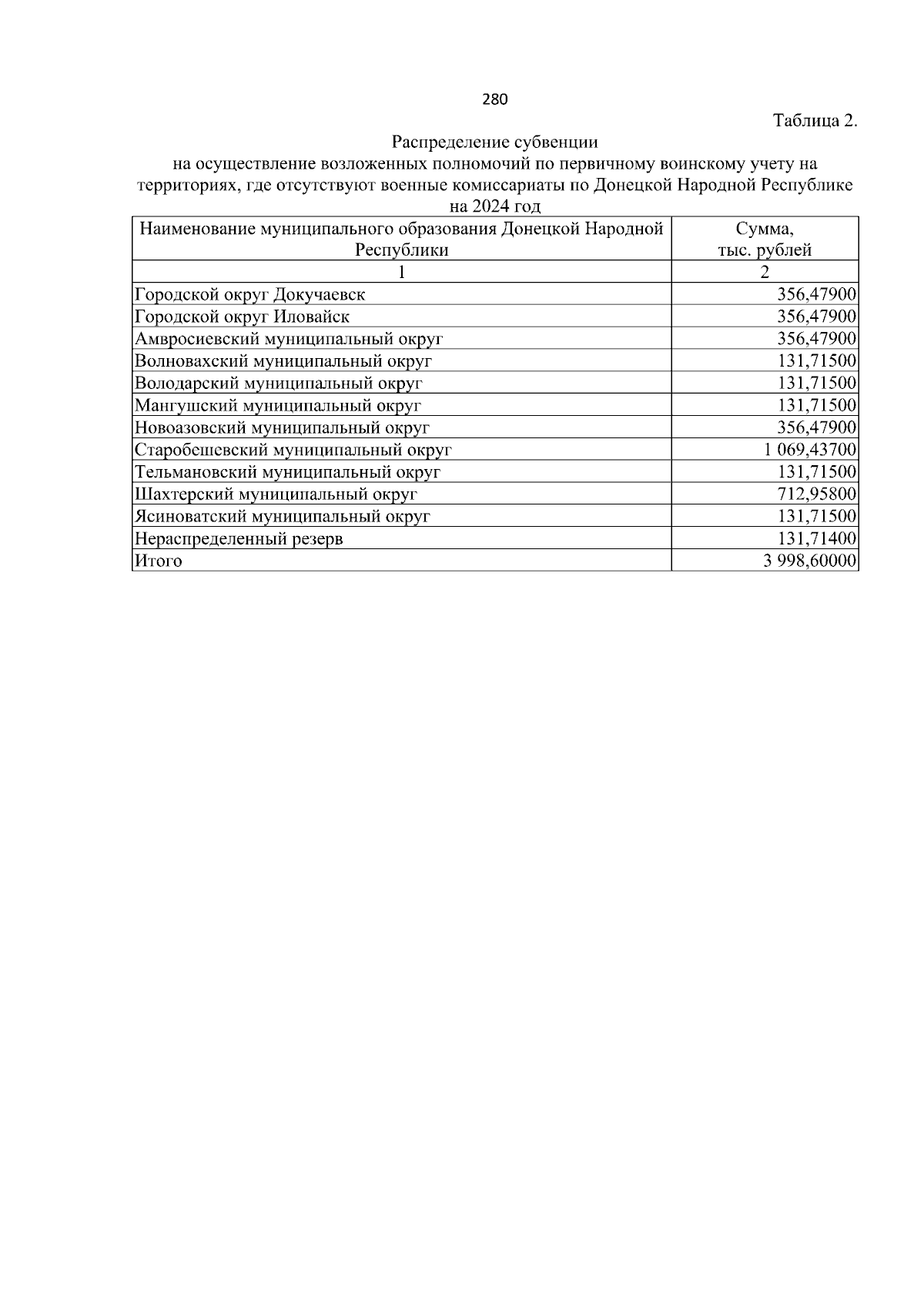
Закон Донецкой Народной Республики от 31.12.2023 № 44-РЗ
"О бюджете Донецкой Народной Республики на 2024 год"
Номер опубликования: 8000202401040017
Дата опубликования: 04.01.2024
Страница №280 из 290:
Увеличить