Официальное опубликование правовых актов
ОФИЦИАЛЬНОЕ ОПУБЛИКОВАНИЕ
Постановление правительства Еврейской автономной области от 18.12.2025 № 542-пп
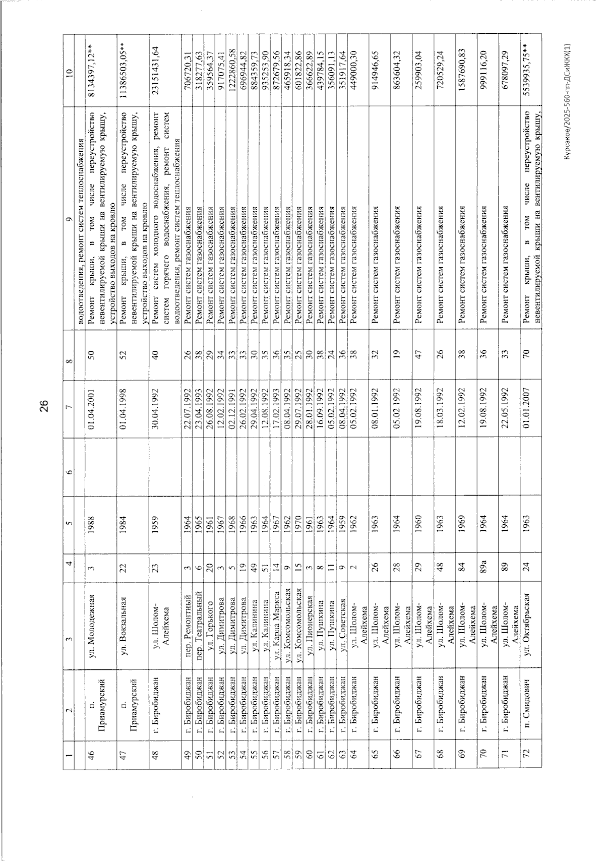
"О внесении изменений в постановление правительства Еврейской автономной области от 22.04.2014 № 178-пп "Об утверждении региональной программы проведения капитального ремонта общего имущества в многоквартирных домах, расположенных на территории Еврейской автономной области, на 2014 – 2043 годы"
Номер опубликования: 7900202512220003
Дата опубликования: 22.12.2025
Страница №31 из 246:
Увеличить