Официальное опубликование правовых актов
ОФИЦИАЛЬНОЕ ОПУБЛИКОВАНИЕ
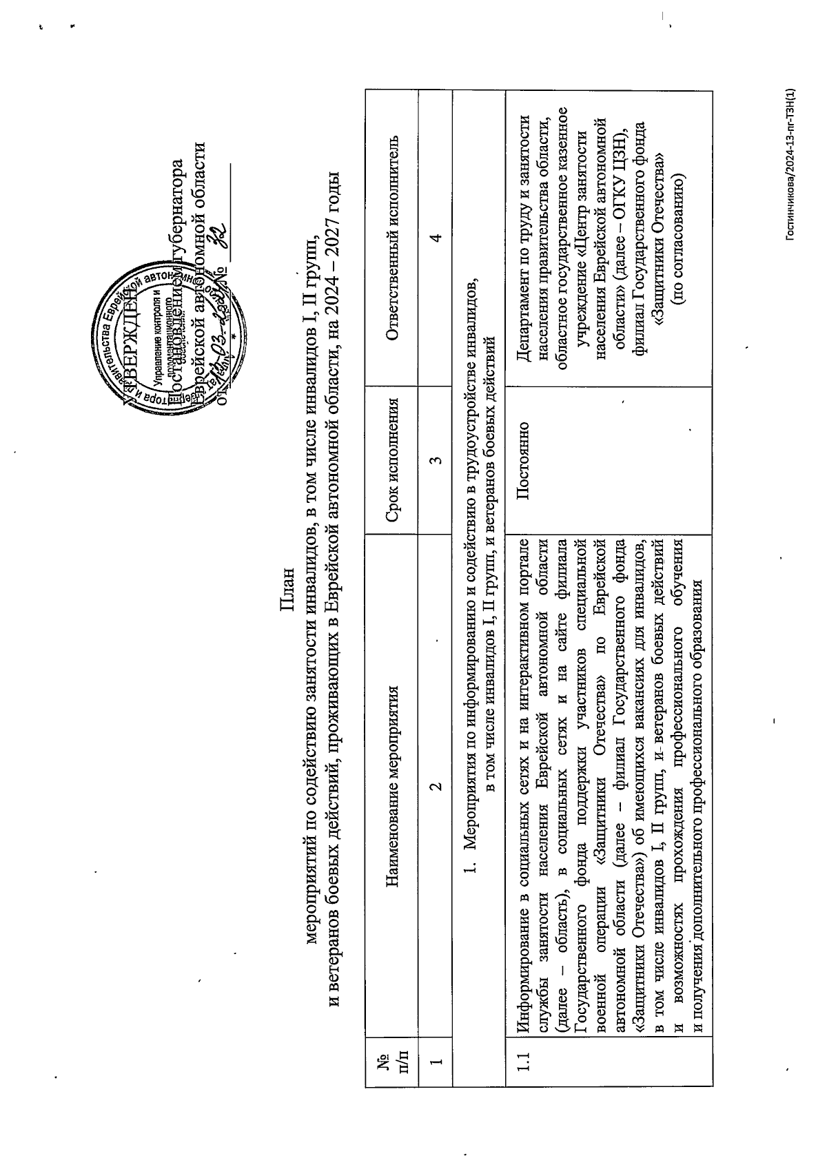
Постановление губернатора Еврейской автономной области от 13.03.2024 № 32
"Об утверждении Плана мероприятий по содействию занятости инвалидов, в том числе инвалидов I, II групп, и ветеранов боевых действий, проживающих в Еврейской автономной области, на 2024 – 2027 годы"
Номер опубликования: 7900202403180012
Дата опубликования: 18.03.2024
Страница №2 из 7:
Увеличить