Официальное опубликование правовых актов
ОФИЦИАЛЬНОЕ ОПУБЛИКОВАНИЕ
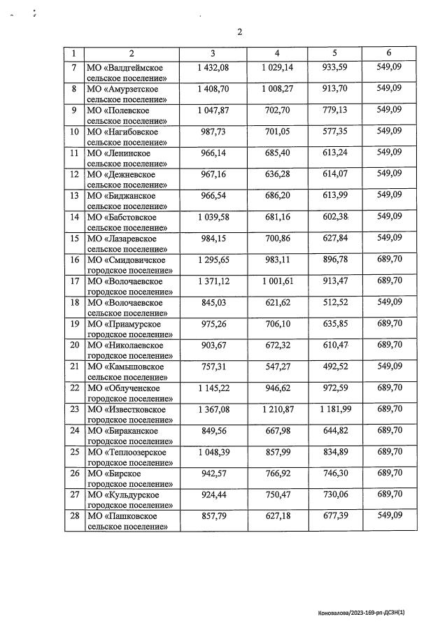
Распоряжение правительства Еврейской автономной области от 03.05.2023 № 192-рп
"О размерах авансовой выплаты для предоставления мер социальной поддержки по оплате жилого помещения и коммунальных услуг отдельным категориям граждан на территории Еврейской автономной области с 01 апреля 2023 года по 30 июня 2023 года"
Номер опубликования: 7900202305050012
Дата опубликования: 05.05.2023
Страница №6 из 10:
Увеличить