Официальное опубликование правовых актов
ОФИЦИАЛЬНОЕ ОПУБЛИКОВАНИЕ
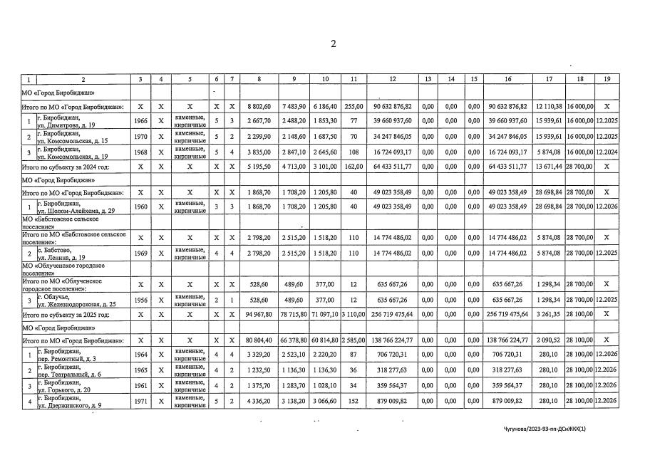
Постановление правительства Еврейской автономной области от 09.03.2023 № 111-пп
"Об утверждении краткосрочного плана реализации региональной программы по проведению капитального ремонта общего имущества многоквартирных домов, расположенных на территории Еврейской автономной области, на 2023 – 2025 годы"
Номер опубликования: 7900202303110001
Дата опубликования: 11.03.2023
Страница №3 из 13:
Увеличить