Официальное опубликование правовых актов
ОФИЦИАЛЬНОЕ ОПУБЛИКОВАНИЕ
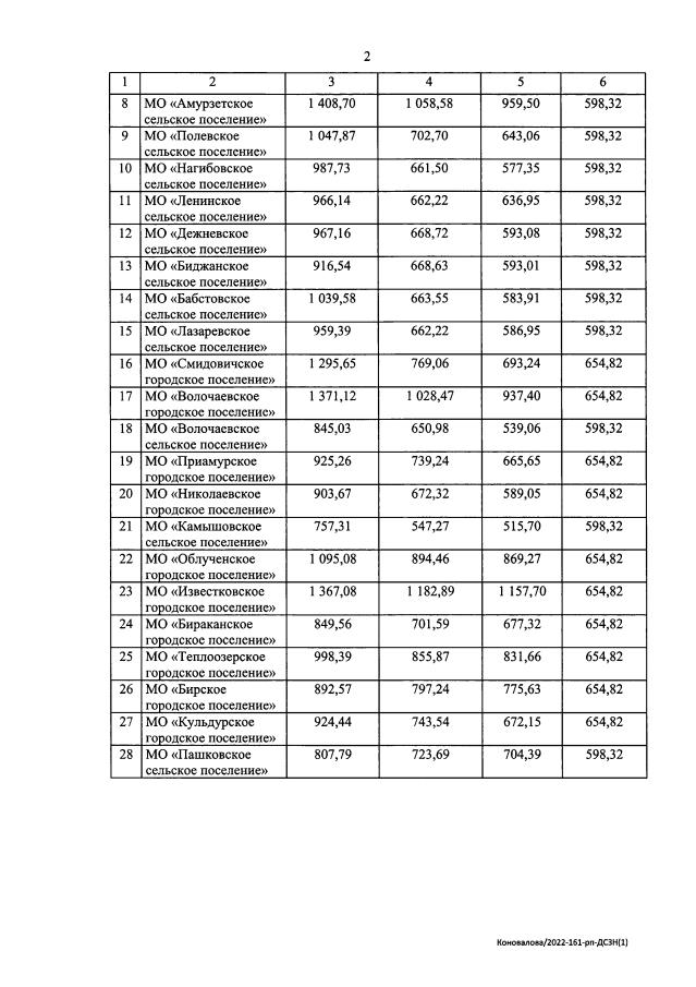
Распоряжение правительства Еврейской автономной области от 10.06.2022 № 165-рп
"О размерах авансовой выплаты для предоставления мер социальной поддержки по оплате жилого помещения и коммунальных услуг отдельным категориям граждан на территории Еврейской автономной области с 01 июня 2022 года по 30 июня 2022 года"
Номер опубликования: 7900202206140003
Дата опубликования: 14.06.2022
Страница №6 из 6:
Увеличить