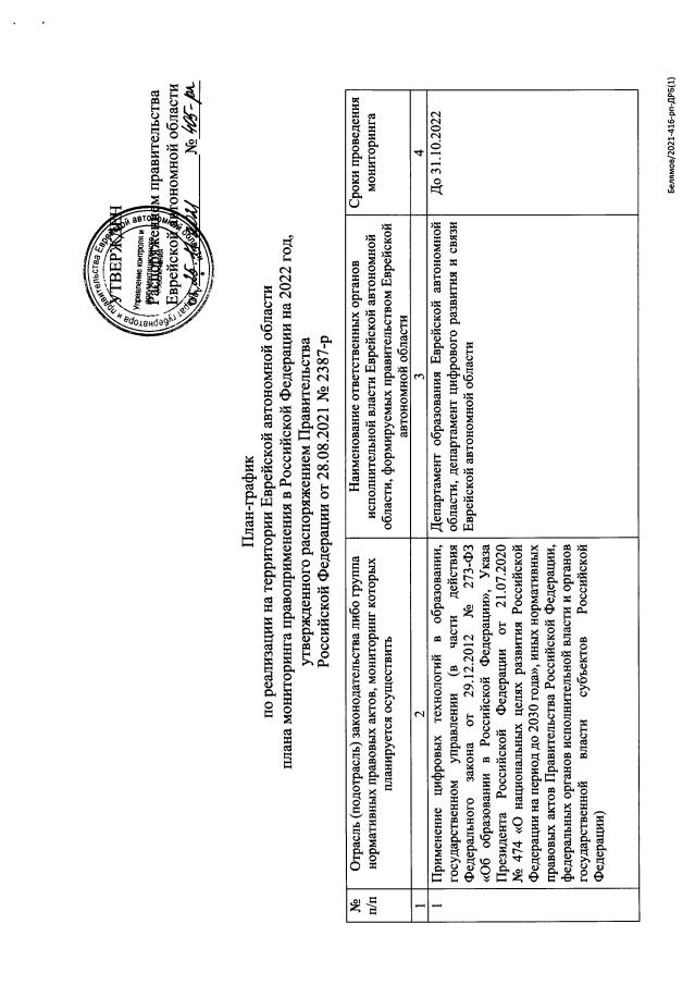
Распоряжение правительства Еврейской автономной области от 25.11.2021 № 405-рп
"О мерах по реализации на территории Еврейской автономной области плана мониторинга правоприменения в Российской Федерации на 2022 год, утвержденного распоряжением Правительства Российской Федерации от 28.08.2021 № 2387-р"
"О мерах по реализации на территории Еврейской автономной области плана мониторинга правоприменения в Российской Федерации на 2022 год, утвержденного распоряжением Правительства Российской Федерации от 28.08.2021 № 2387-р"
Номер опубликования: 7900202111290003
Дата опубликования:
29.11.2021
