Официальное опубликование правовых актов
ОФИЦИАЛЬНОЕ ОПУБЛИКОВАНИЕ
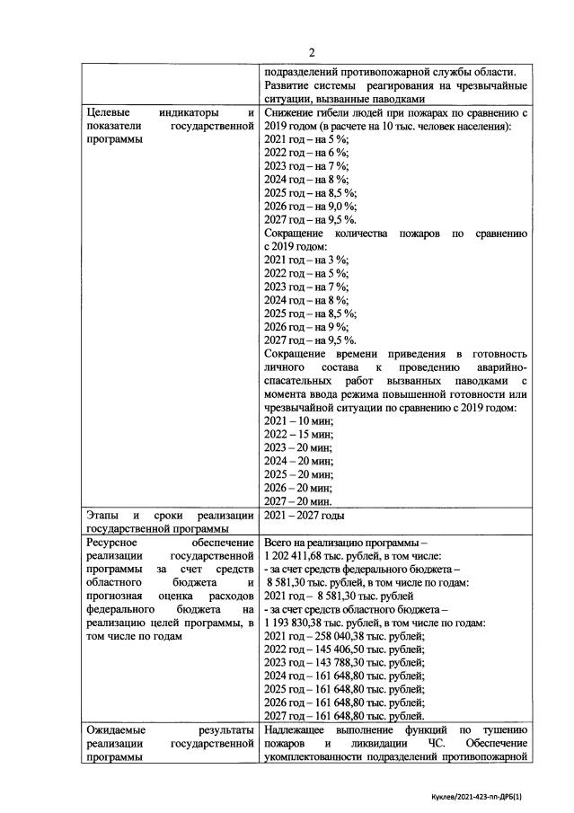
Постановление правительства Еврейской автономной области от 14.09.2021 № 336-пп
"О внесении изменения в государственную программу Еврейской автономной области "Пожарная безопасность и защита населения от чрезвычайных ситуаций природного и техногенного характера в Еврейской автономной области" на 2021 – 2027 годы, утвержденную постановлением правительства Еврейской автономной области от 23.12.2020 № 530-пп"
Номер опубликования: 7900202109160016
Дата опубликования: 16.09.2021
Страница №3 из 27:
Увеличить