Официальное опубликование правовых актов
ОФИЦИАЛЬНОЕ ОПУБЛИКОВАНИЕ
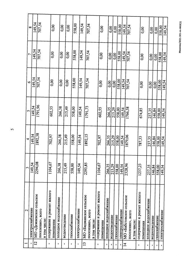
Постановление правительства Еврейской автономной области от 06.08.2021 № 258-пп
"О размерах региональных стандартов стоимости жилищно-коммунальных услуг для расчета субсидий на оплату жилого помещения и коммунальных услуг с 01 июля 2021 года по 31 декабря 2021 года"
Номер опубликования: 7900202108110008
Дата опубликования: 11.08.2021
Страница №28 из 70:
Увеличить