Официальное опубликование правовых актов
ОФИЦИАЛЬНОЕ ОПУБЛИКОВАНИЕ
Распоряжение правительства Еврейской автономной области от 30.09.2020 № 434-рп
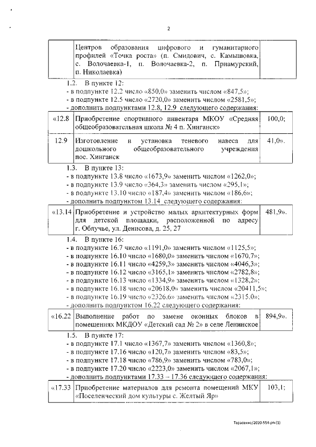
"О внесении изменений и дополнений в Перечень первоочередных мероприятий, направленных на поддержку социально значимых отраслей Еврейской автономной области в 2020 году, утвержденный распоряжением правительства Еврейской автономной области от 08.06.2020 № 258-рп"
Номер опубликования: 7900202010050004
Дата опубликования: 05.10.2020
Страница №2 из 3:
Увеличить