Официальное опубликование правовых актов
ОФИЦИАЛЬНОЕ ОПУБЛИКОВАНИЕ
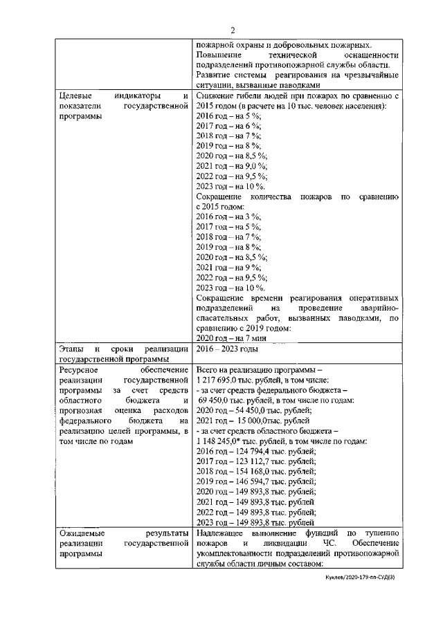
Постановление правительства Еврейской автономной области от 08.05.2020 № 151-пп
"О внесении изменения в государственную программу Еврейской автономной области "Пожарная безопасность и защита населения от чрезвычайных ситуаций природного и техногенного характера в Еврейской автономной области" на 2016 – 2023 годы", утвержденную постановлением правительства Еврейской автономной области от 16.10.2015 № 458-пп"
Номер опубликования: 7900202005140014
Дата опубликования: 14.05.2020
Страница №3 из 29:
Увеличить