Официальное опубликование правовых актов
ОФИЦИАЛЬНОЕ ОПУБЛИКОВАНИЕ
Постановление правительства Еврейской автономной области от 25.10.2019 № 354-пп
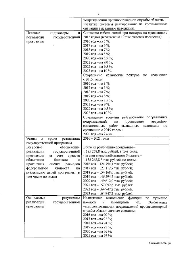
"О внесении изменений в постановление правительства Еврейской автономной области от 16.10.2015 № 458-пп "О государственной программе Еврейской автономной области "Пожарная безопасность и защита населения от чрезвычайных ситуаций природного и техногенного характера в Еврейской автономной области" на 2016 - 2023 годы"
Номер опубликования: 7900201910310005
Дата опубликования: 31.10.2019
Страница №3 из 22:
Увеличить