Официальное опубликование правовых актов
ОФИЦИАЛЬНОЕ ОПУБЛИКОВАНИЕ
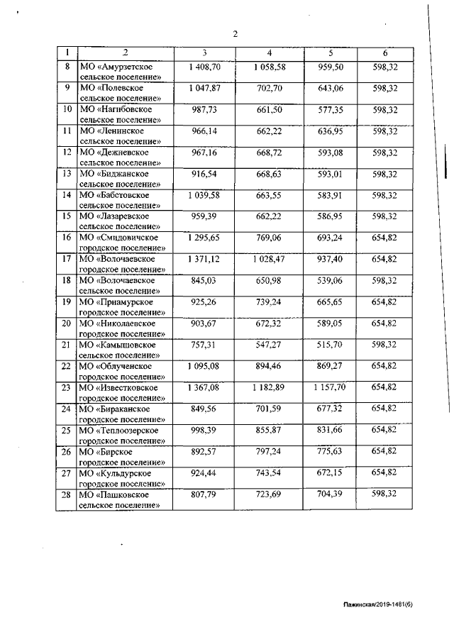
Распоряжение правительства Еврейской автономной области от 18.06.2019 № 209-рп
"О размерах авансовой выплаты для предоставления мер социальной поддержки по оплате жилого помещения и коммунальных услуг отдельным категориям граждан на территории Еврейской автономной области с 01 июня 2019 года по 30 сентября 2019 года"
Номер опубликования: 7900201906200003
Дата опубликования: 20.06.2019
Страница №6 из 6:
Увеличить