Официальное опубликование правовых актов
ОФИЦИАЛЬНОЕ ОПУБЛИКОВАНИЕ
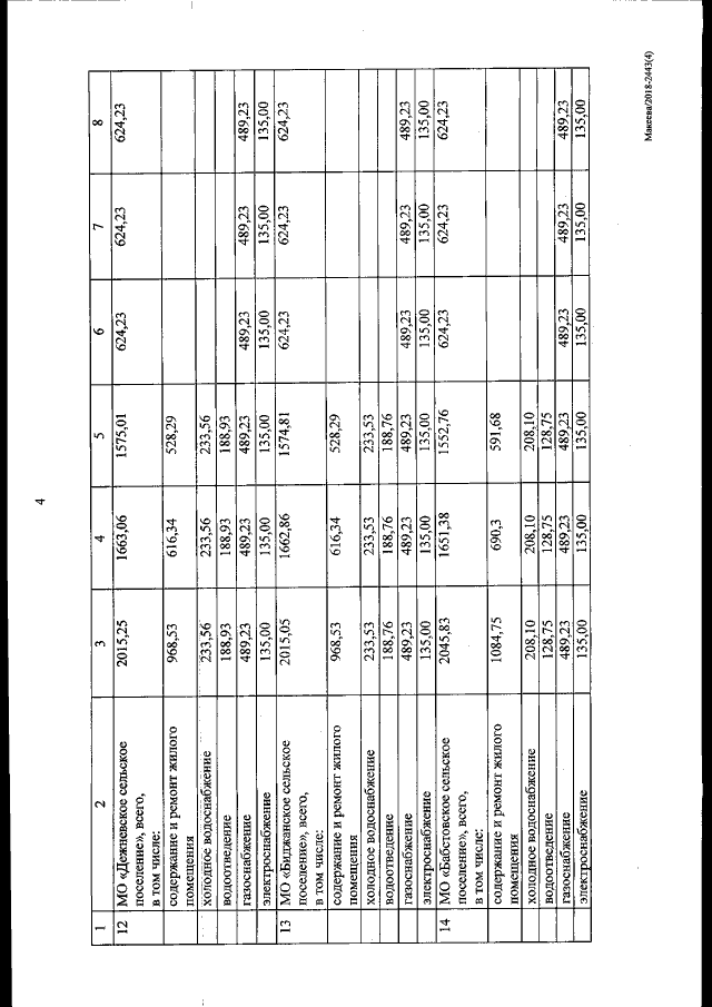
Постановление правительства Еврейской автономной области от 13.09.2018 № 339-пп
"О размерах региональных стандартов стоимости жилищно-коммунальных услуг для расчета компенсации расходов по оплате жилья и коммунальных услуг отдельным категориям граждан с 01 июля 2018 года по 30 июня 2019 года"
Номер опубликования: 7900201809180002
Дата опубликования: 18.09.2018
Страница №7 из 34:
Увеличить