Официальное опубликование правовых актов
ОФИЦИАЛЬНОЕ ОПУБЛИКОВАНИЕ
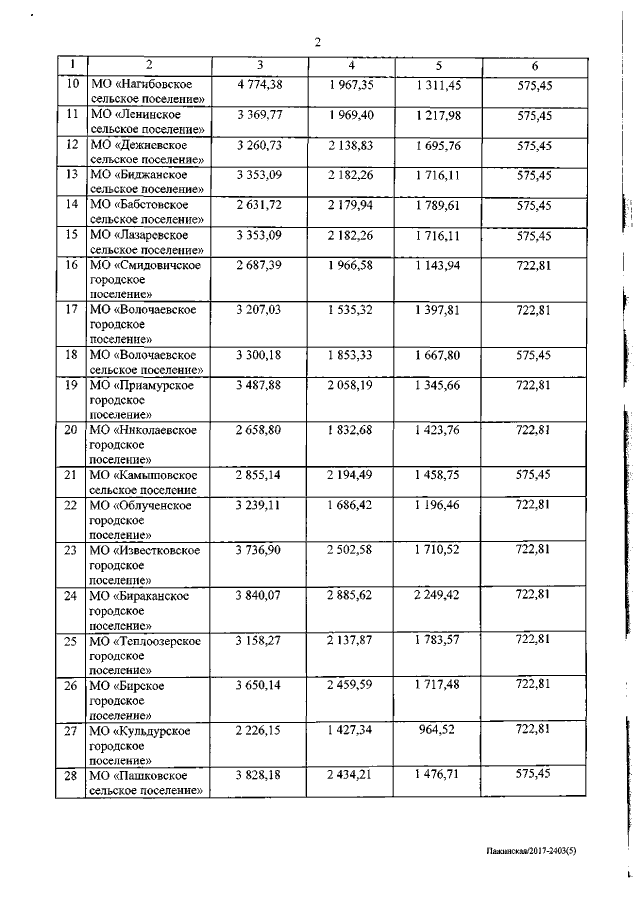
Распоряжение правительства Еврейской автономной области от 13.10.2017 № 263-рп
"О размерах авансовой выплаты для предоставления мер социальной поддержки по оплате жилого помещения и коммунальных услуг, установленных законами и иными нормативными правыми актами Российской Федерации, отдельным категориям граждан на территории Еврейской автономной области с 01 октября 2017 года по 30 апреля 2018 года"
Номер опубликования: 7900201710170001
Дата опубликования: 17.10.2017
Страница №4 из 4:
Увеличить