Официальное опубликование правовых актов
ОФИЦИАЛЬНОЕ ОПУБЛИКОВАНИЕ
Постановление губернатора Еврейской автономной области от 18.05.2015 № 138
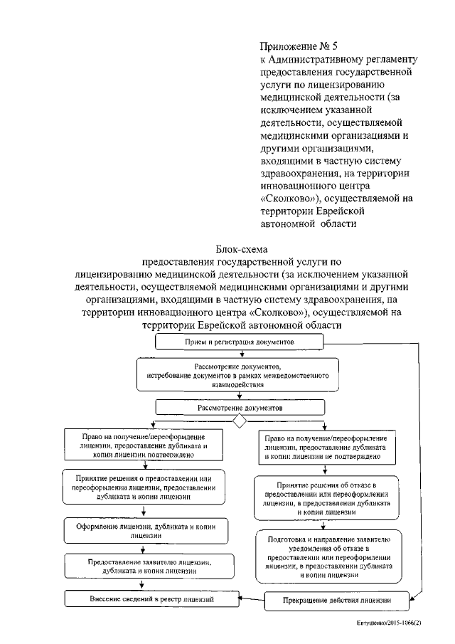
"Об утверждении Административного регламента предоставления государственной услуги по лицензированию медицинской деятельности (за исключением указанной деятельности, осуществляемой медицинскими организациями и другими организациями, входящими в частную систему здравоохранения, на территории инновационного центра "Сколково"), осуществляемой на территории Еврейской автономной области"
Номер опубликования: 7900201505200006
Дата опубликования: 20.05.2015
Страница №62 из 62:
Увеличить