Закон Еврейской автономной области от 24.04.2015 № 688-ОЗ
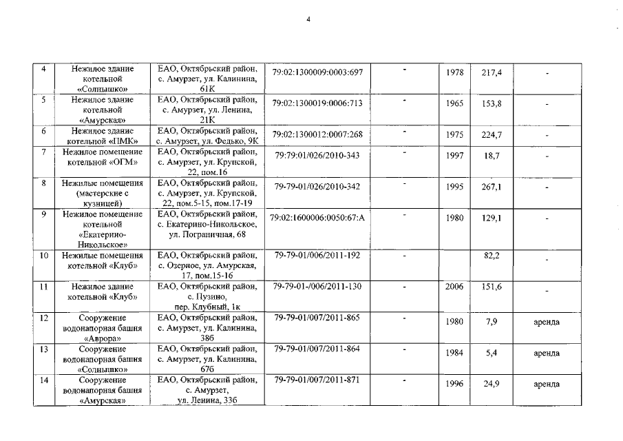
"О разграничении имущества, находящегося в муниципальной собственности, между муниципальным образованием "Октябрьский муниципальный район" Еврейской автономной области и сельскими поселениями, входящими в его состав с перераспределением полномочий"
"О разграничении имущества, находящегося в муниципальной собственности, между муниципальным образованием "Октябрьский муниципальный район" Еврейской автономной области и сельскими поселениями, входящими в его состав с перераспределением полномочий"
Номер опубликования: 7900201505070014
Дата опубликования:
07.05.2015
