Распоряжение Комитета по государственному контролю, использованию и охране памятников истории и культуры от 06.02.2026 № 16-рп
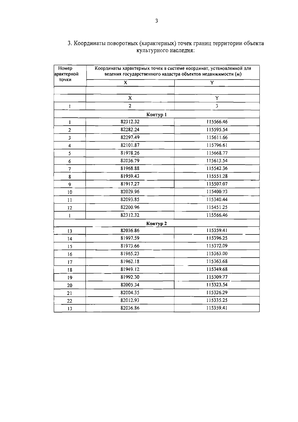
"О включении выявленного объекта культурного наследия в единый государственный реестр объектов культурного наследия (памятников истории и культуры) народов Российской Федерации в качестве объекта культурного наследия регионального значения "Мясокомбинат им. С.М.Кирова", об утверждении границ и режима использования территории объекта культурного наследия, об утверждении предмета охраны объекта культурного наследия"
(Зарегистрирован 09.02.2026 № 51826)
"О включении выявленного объекта культурного наследия в единый государственный реестр объектов культурного наследия (памятников истории и культуры) народов Российской Федерации в качестве объекта культурного наследия регионального значения "Мясокомбинат им. С.М.Кирова", об утверждении границ и режима использования территории объекта культурного наследия, об утверждении предмета охраны объекта культурного наследия"
(Зарегистрирован 09.02.2026 № 51826)
Номер опубликования: 7801202602130019
Дата опубликования:
13.02.2026
