Официальное опубликование правовых актов
ОФИЦИАЛЬНОЕ ОПУБЛИКОВАНИЕ
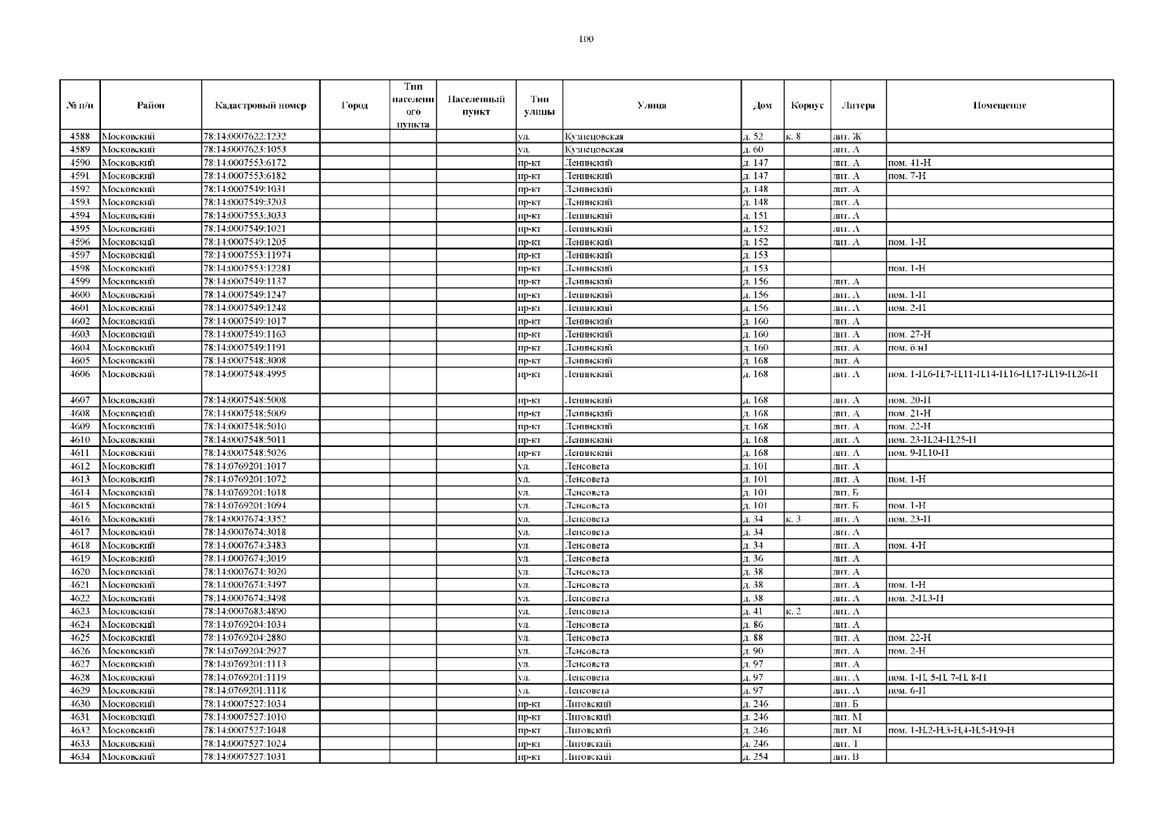
Приказ Комитета по контролю за имуществом Санкт-Петербурга от 26.12.2025 № 96-П
"Об определении Перечня объектов недвижимого имущества, в отношении которых налоговая база определяется как кадастровая стоимость, на 2026 год"
(Зарегистрирован 29.12.2025 № 51582)
Номер опубликования: 7801202512300001
Дата опубликования: 30.12.2025
Страница №101 из 199:
Увеличить