Официальное опубликование правовых актов
ОФИЦИАЛЬНОЕ ОПУБЛИКОВАНИЕ
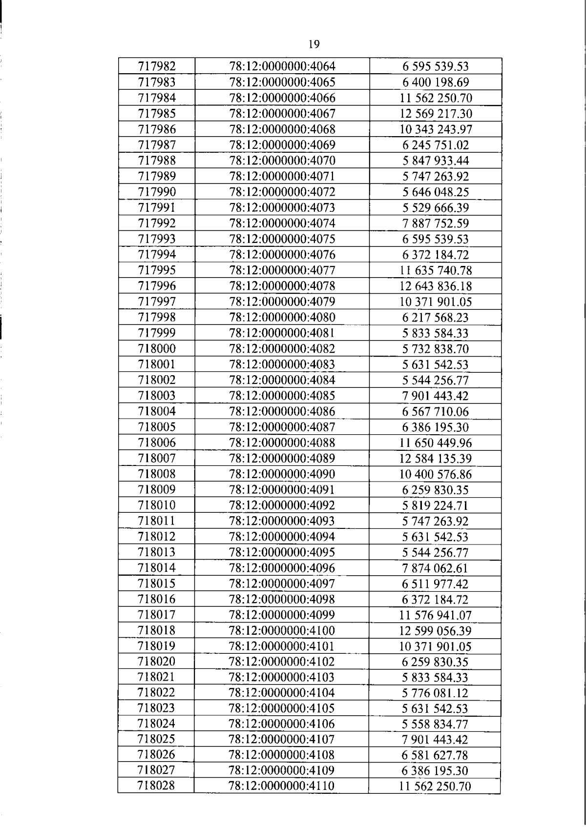
Приказ Комитета имущественных отношений Санкт-Петербурга от 22.09.2025 № 171-П
"О внесении изменений в приказ Комитета имущественных отношений Санкт-Петербурга от 09.11.2023 № 199-п"
(Зарегистрирован 24.09.2025 № 50972)
Номер опубликования: 7801202509290004
Дата опубликования: 29.09.2025
Страница №19 из 24:
Увеличить