Официальное опубликование правовых актов
ОФИЦИАЛЬНОЕ ОПУБЛИКОВАНИЕ
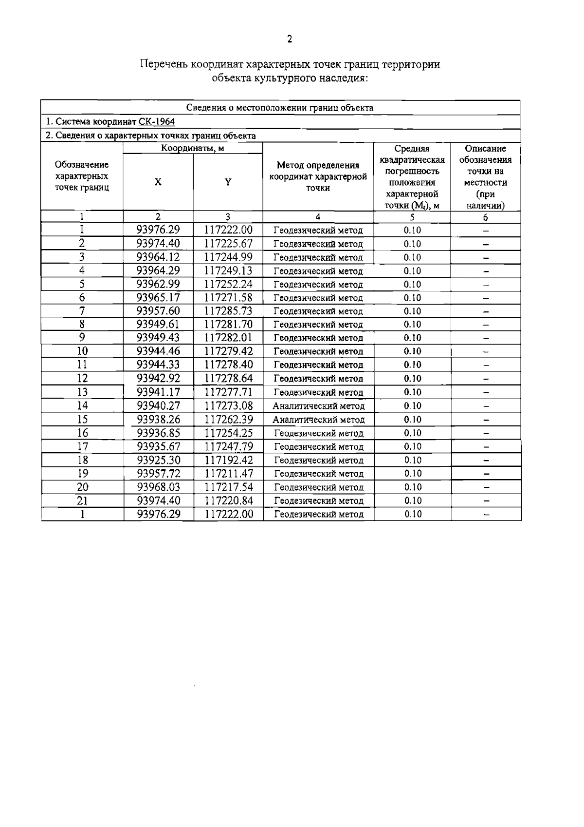
Распоряжение Комитета по государственному контролю, использованию и охране памятников истории и культуры от 13.08.2025 № 227-рп
"Об утверждении границ и режима использования территории объекта культурного наследия регионального значения "Богадельня подворья Шестаковского Вознесенского монастыря"
(Зарегистрирован 14.08.2025 № 50796)
Номер опубликования: 7801202508200011
Дата опубликования: 20.08.2025
Страница №4 из 5:
Увеличить