Официальное опубликование правовых актов
ОФИЦИАЛЬНОЕ ОПУБЛИКОВАНИЕ
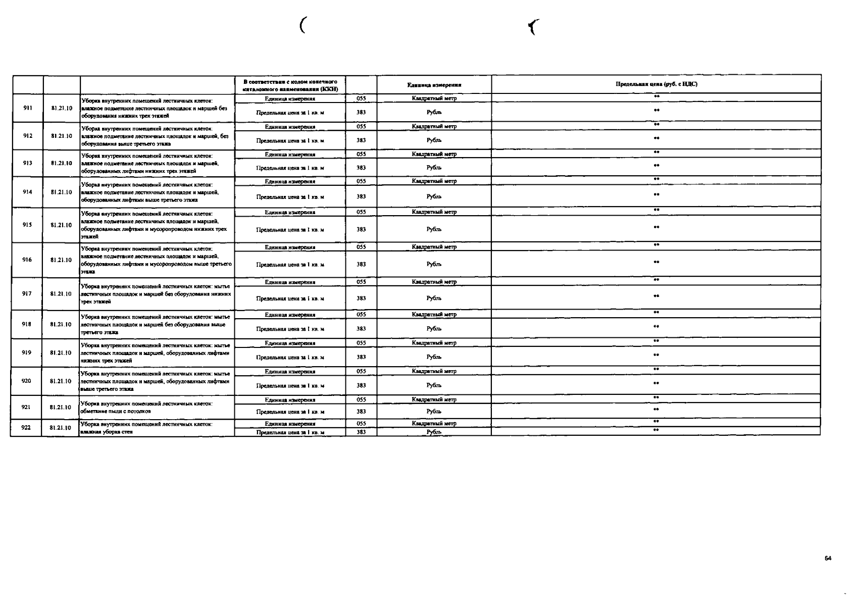
Распоряжение Администрации Кировского района Санкт-Петербурга от 03.03.2025 № 832-р
"Об утверждении Требований к закупаемым администрацией Кировского района Санкт-Петербурга и подведомственными ей казенными и бюджетными учреждениями отдельным видам товаров, работ, услуг (в том числе предельные цены товаров, работ, услуг)"
(Зарегистрирован 05.03.2025 № 50040)
Номер опубликования: 7801202503100004
Дата опубликования: 10.03.2025
Страница №72 из 75:
Увеличить