Официальное опубликование правовых актов
ОФИЦИАЛЬНОЕ ОПУБЛИКОВАНИЕ
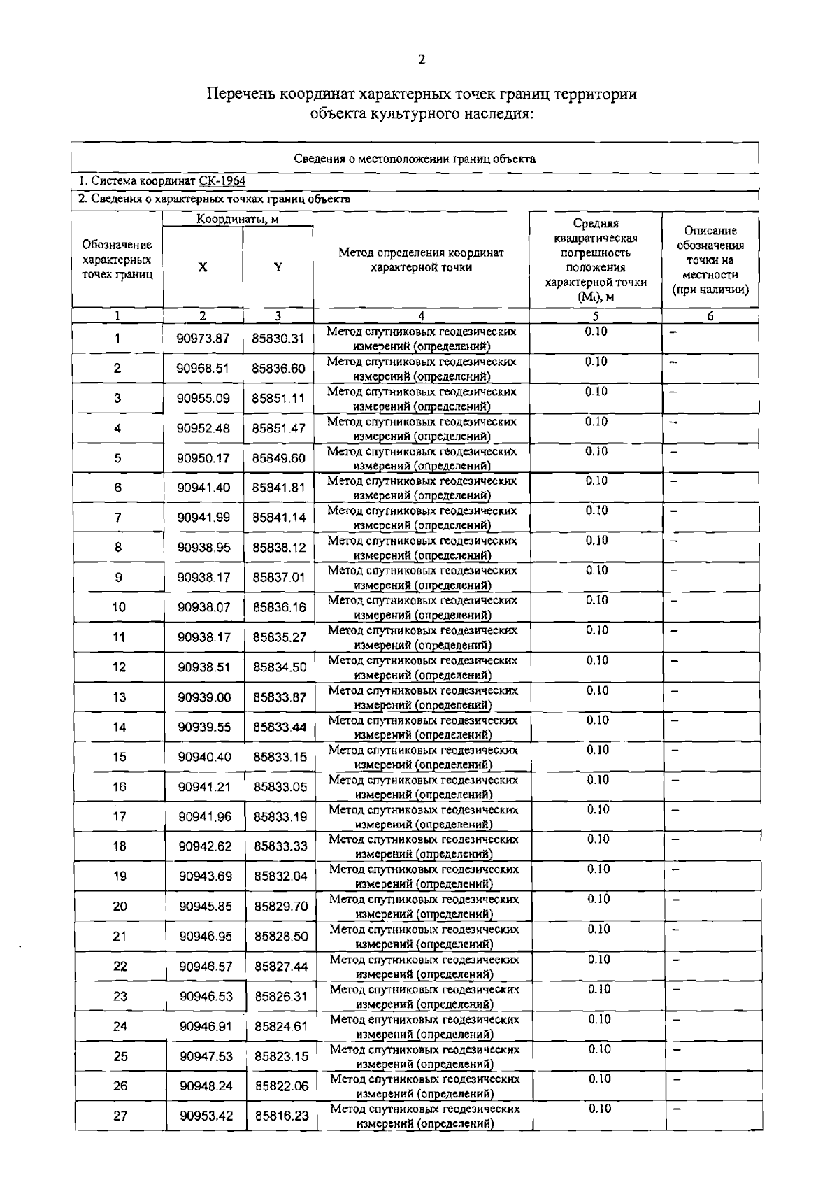
Распоряжение Комитета по государственному контролю, использованию и охране памятников истории и культуры от 04.12.2024 № 1500-рп
"Об утверждении границ и режима использования территории объекта культурного наследия регионального значения "Дача"
(Зарегистрирован 06.12.2024 № 49520)
Номер опубликования: 7801202412090023
Дата опубликования: 09.12.2024
Страница №4 из 6:
Увеличить