Официальное опубликование правовых актов
ОФИЦИАЛЬНОЕ ОПУБЛИКОВАНИЕ
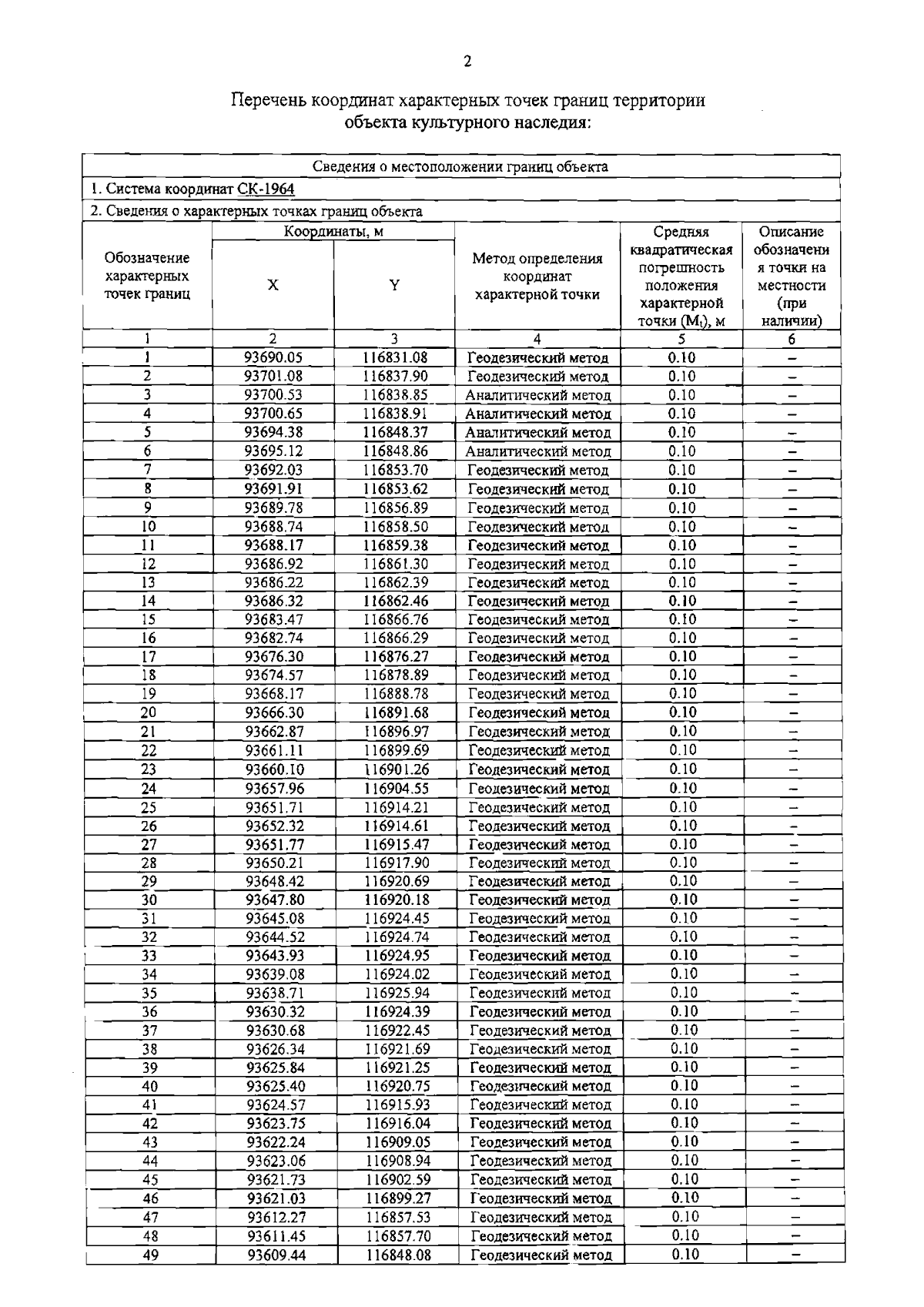
Распоряжение Комитета по государственному контролю, использованию и охране памятников истории и культуры от 12.11.2024 № 1357-рп
"Об утверждении границ и режима использования территории объекта культурного наследия регионального значения "Дома Галунова И.В."
(Зарегистрирован 13.11.2024 № 49274)
Номер опубликования: 7801202411190006
Дата опубликования: 19.11.2024
Страница №4 из 7:
Увеличить