Официальное опубликование правовых актов
ОФИЦИАЛЬНОЕ ОПУБЛИКОВАНИЕ
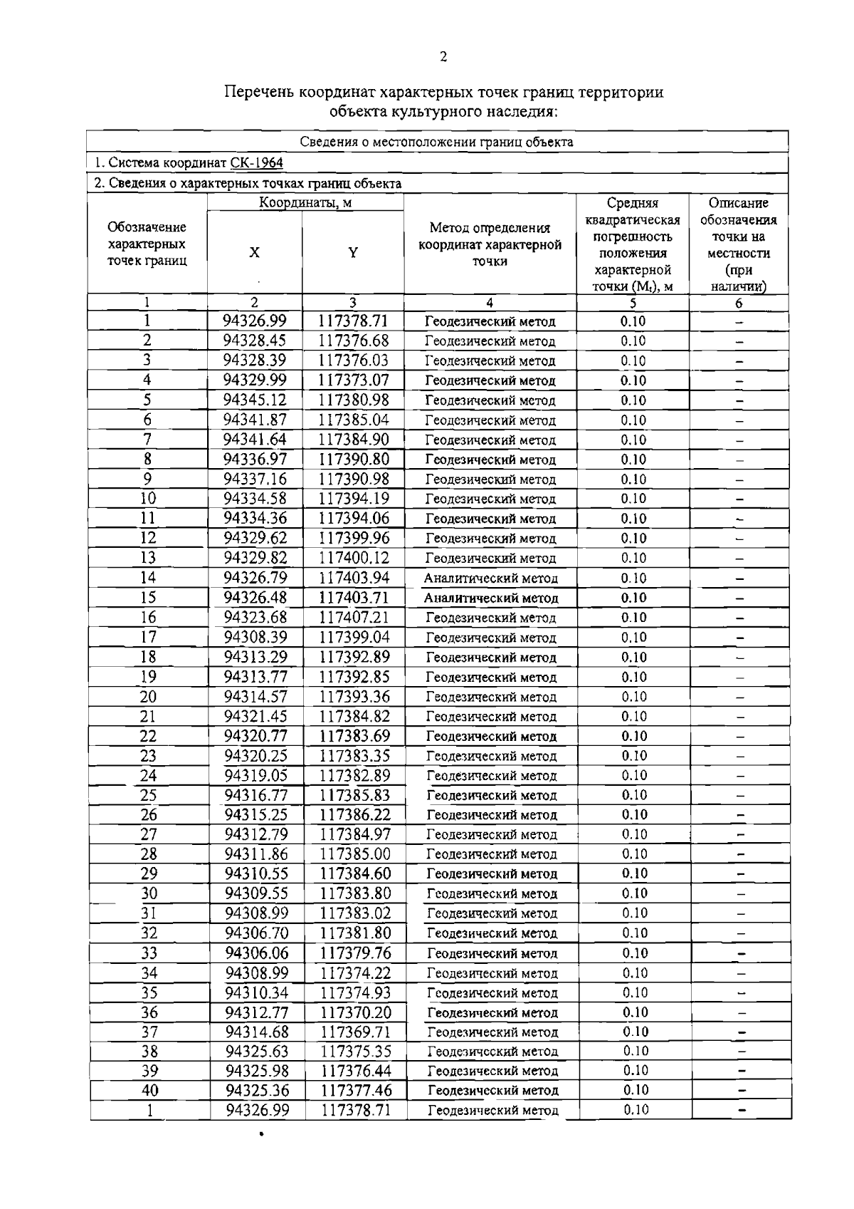
Распоряжение Комитета по государственному контролю, использованию и охране памятников истории и культуры от 16.09.2024 № 1215-рп
"Об утверждении границ и режима использования территории объекта культурного наследия регионального значения "Дом, где в июле 1917 г. нелегально жил Ленин В.И."
(Зарегистрирован 16.09.2024 № 48916)
Номер опубликования: 7801202409180016
Дата опубликования: 18.09.2024
Страница №4 из 5:
Увеличить