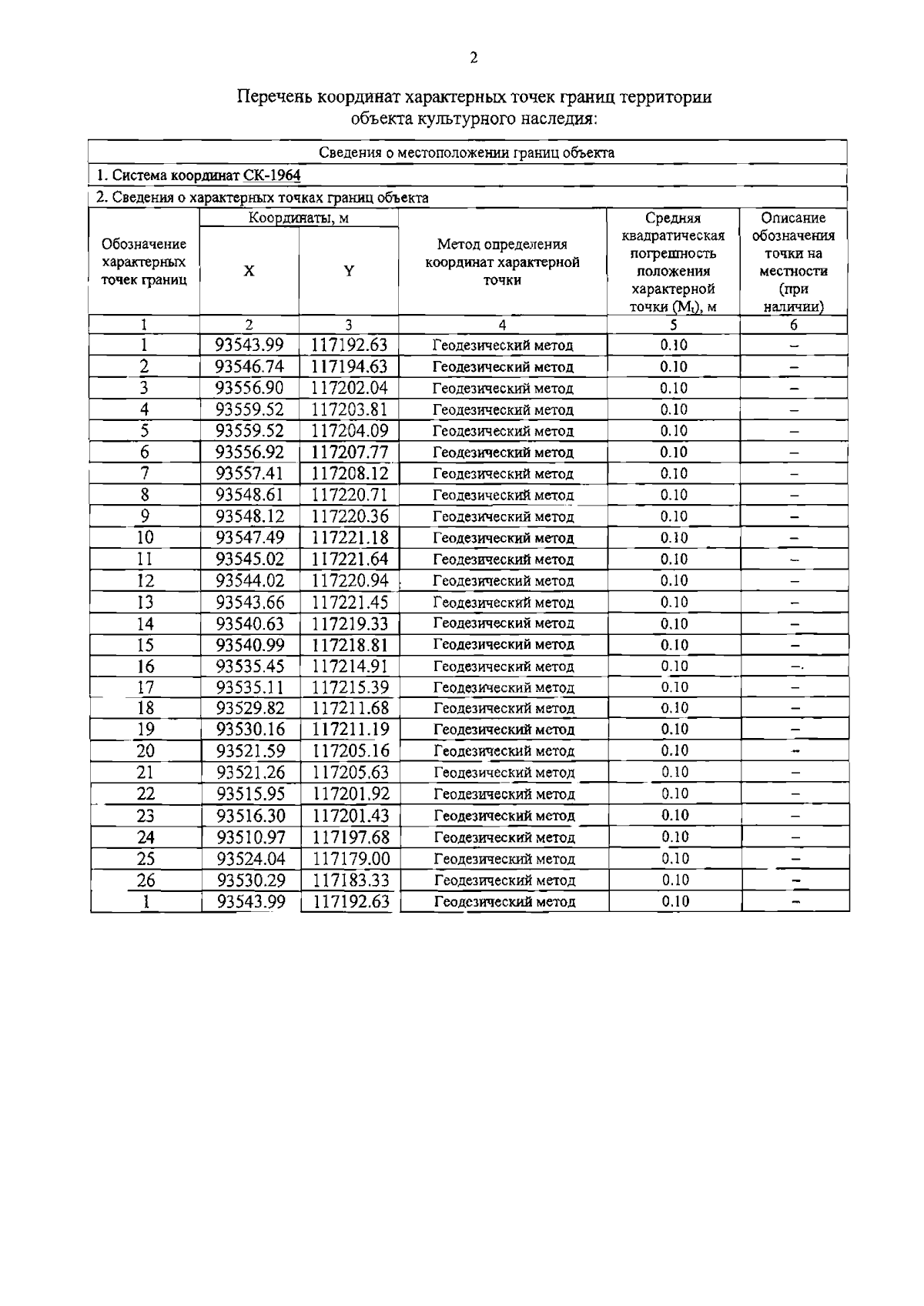
Распоряжение Комитета по государственному контролю, использованию и охране памятников истории и культуры от 16.09.2024 № 1214-рп
"Об утверждении границ и режима использования территории объекта культурного наследия регионального значения "Дом К.К.Шмидта"
(Зарегистрирован 16.09.2024 № 48917)
"Об утверждении границ и режима использования территории объекта культурного наследия регионального значения "Дом К.К.Шмидта"
(Зарегистрирован 16.09.2024 № 48917)
Номер опубликования: 7801202409180005
Дата опубликования:
18.09.2024
