Официальное опубликование правовых актов
ОФИЦИАЛЬНОЕ ОПУБЛИКОВАНИЕ
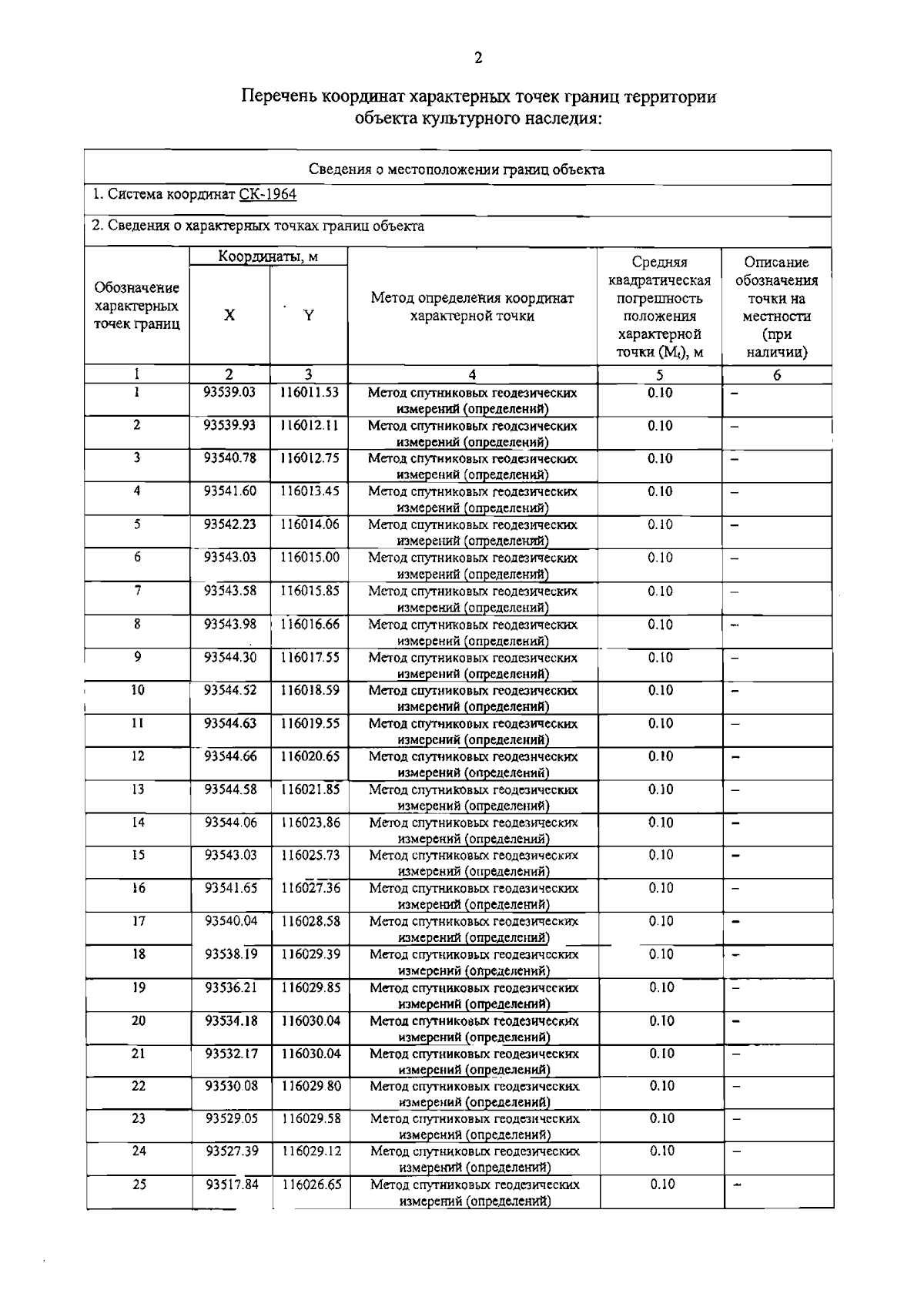
Распоряжение Комитета по государственному контролю, использованию и охране памятников истории и культуры от 11.09.2024 № 1194-рп
"Об утверждении границ и режима использования территории объекта культурного наследия регионального значения "Пушкинский сквер"
(Зарегистрирован 12.09.2024 № 48893)
Номер опубликования: 7801202409130017
Дата опубликования: 13.09.2024
Страница №4 из 7:
Увеличить