Распоряжение Комитета по государственному контролю, использованию и охране памятников истории и культуры от 11.09.2024 № 1192-рп
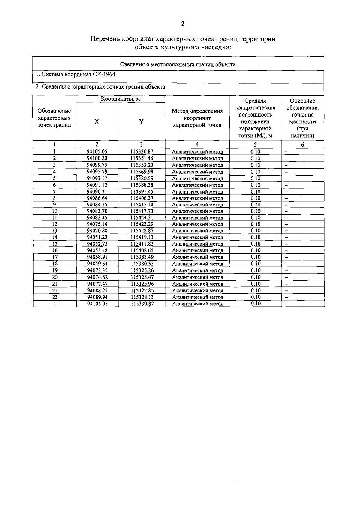
"Об утверждении границ и режима использования территории объекта культурного наследия регионального значения "Дом, где жили: в 1854-1856 гг. писатель Тургенев Иван Сергеевич, в 1855-1856 гг. писатель Толстой Лев Николаевич, в 1857-1858 гг. революционный демократ, литературный критик и публицист Добролюбов Николай Александрович (кв.31), в 1891-1918 гг. композитор Кюи Цезарь Антонович"
(Зарегистрирован 12.09.2024 № 48890)
"Об утверждении границ и режима использования территории объекта культурного наследия регионального значения "Дом, где жили: в 1854-1856 гг. писатель Тургенев Иван Сергеевич, в 1855-1856 гг. писатель Толстой Лев Николаевич, в 1857-1858 гг. революционный демократ, литературный критик и публицист Добролюбов Николай Александрович (кв.31), в 1891-1918 гг. композитор Кюи Цезарь Антонович"
(Зарегистрирован 12.09.2024 № 48890)
Номер опубликования: 7801202409130016
Дата опубликования:
13.09.2024
