Официальное опубликование правовых актов
ОФИЦИАЛЬНОЕ ОПУБЛИКОВАНИЕ
Распоряжение Комитета по государственному контролю, использованию и охране памятников истории и культуры от 10.09.2024 № 1178-рп
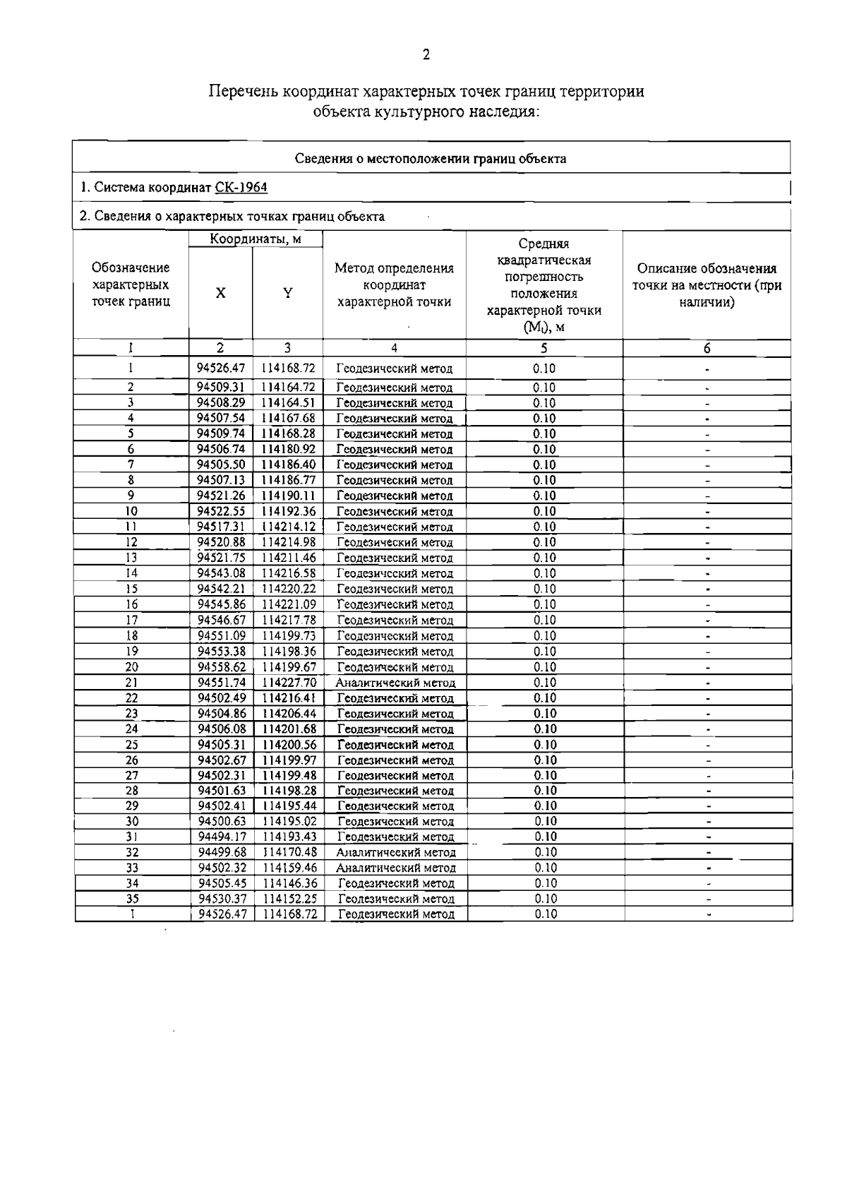
"Об утверждении границ и режима использования территории объекта культурного наследия регионального значения "Дом, где в 1890-1918 гг. жил экономист Даниельсон Н.Ф."
(Зарегистрирован 11.09.2024 № 48868)
Номер опубликования: 7801202409120029
Дата опубликования: 12.09.2024
Страница №4 из 5:
Увеличить