Официальное опубликование правовых актов
ОФИЦИАЛЬНОЕ ОПУБЛИКОВАНИЕ
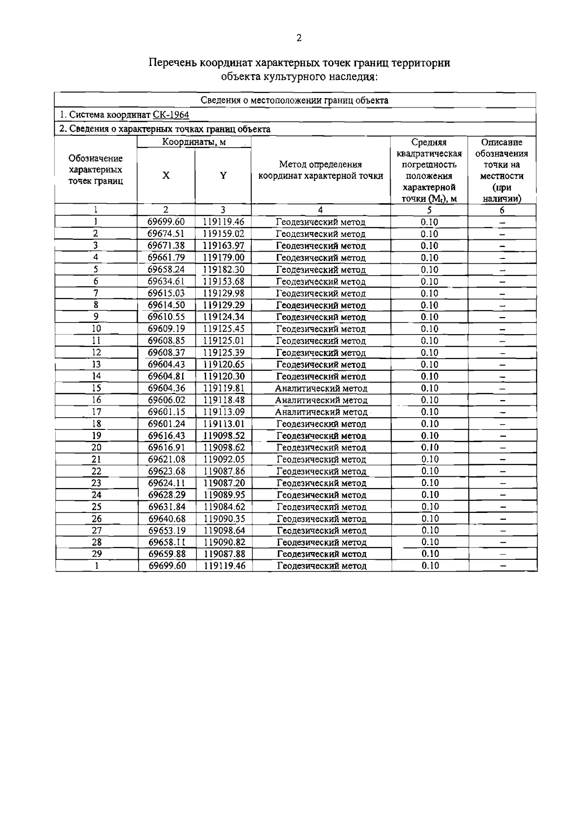
Распоряжение Комитета по государственному контролю, использованию и охране памятников истории и культуры от 04.09.2024 № 1155-рп
"Об утверждении границ и режима использования территории объекта культурного наследия федерального значения "Церковь лютеранская Воскресения Христова 1865 г., арх. Видов А.Ф."
(Зарегистрирован 05.09.2024 № 48810)
Номер опубликования: 7801202409100023
Дата опубликования: 10.09.2024
Страница №4 из 5:
Увеличить