Распоряжение Комитета по государственному контролю, использованию и охране памятников истории и культуры от 04.09.2024 № 1166-рп
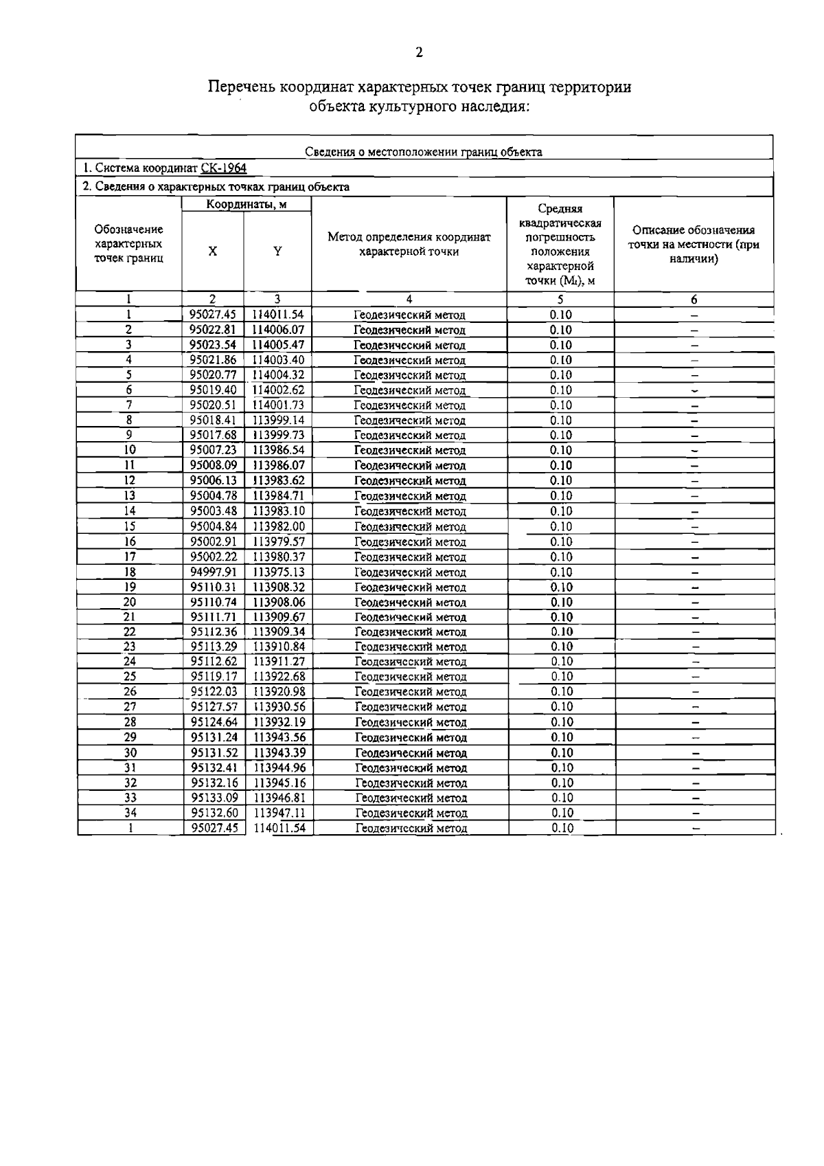
"Об утверждении границ и режима использования территории объекта культурного наследия федерального значения "Дворец Великого князя Владимира Александровича"
(Зарегистрирован 05.09.2024 № 48822)
"Об утверждении границ и режима использования территории объекта культурного наследия федерального значения "Дворец Великого князя Владимира Александровича"
(Зарегистрирован 05.09.2024 № 48822)
Номер опубликования: 7801202409100006
Дата опубликования:
10.09.2024
