Официальное опубликование правовых актов
ОФИЦИАЛЬНОЕ ОПУБЛИКОВАНИЕ
Распоряжение Комитета по государственному контролю, использованию и охране памятников истории и культуры от 21.08.2024 № 1120-рп
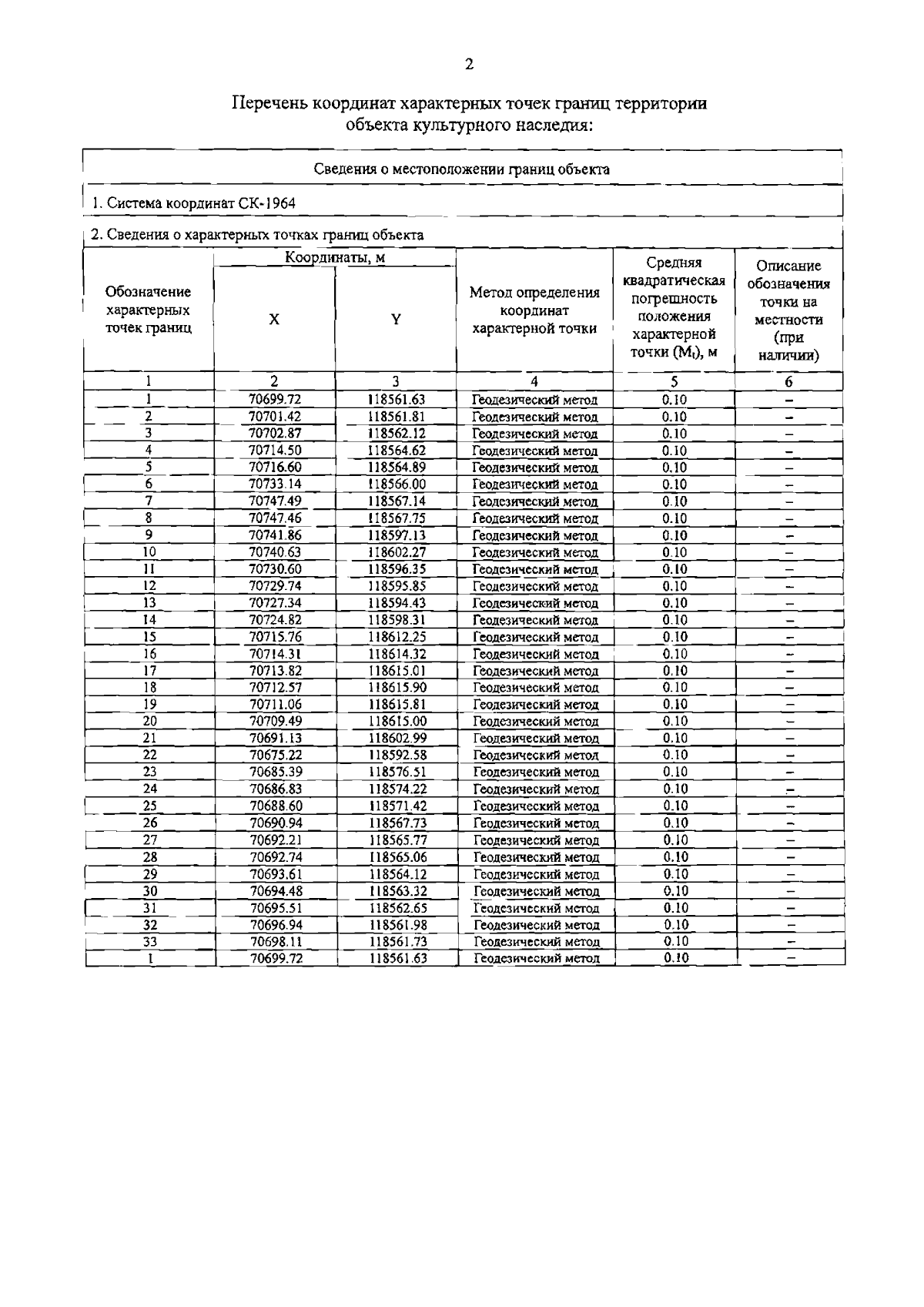
"Об утверждении границ и режима использования территории объекта культурного наследия федерального значения "Дом Китаева Я. с оградой и садом. Здесь в 1831 г. жил поэт Пушкин А.С."
(Зарегистрирован 23.08.2024 № 48730)
Номер опубликования: 7801202408270019
Дата опубликования: 27.08.2024
Страница №4 из 5:
Увеличить