Официальное опубликование правовых актов
ОФИЦИАЛЬНОЕ ОПУБЛИКОВАНИЕ
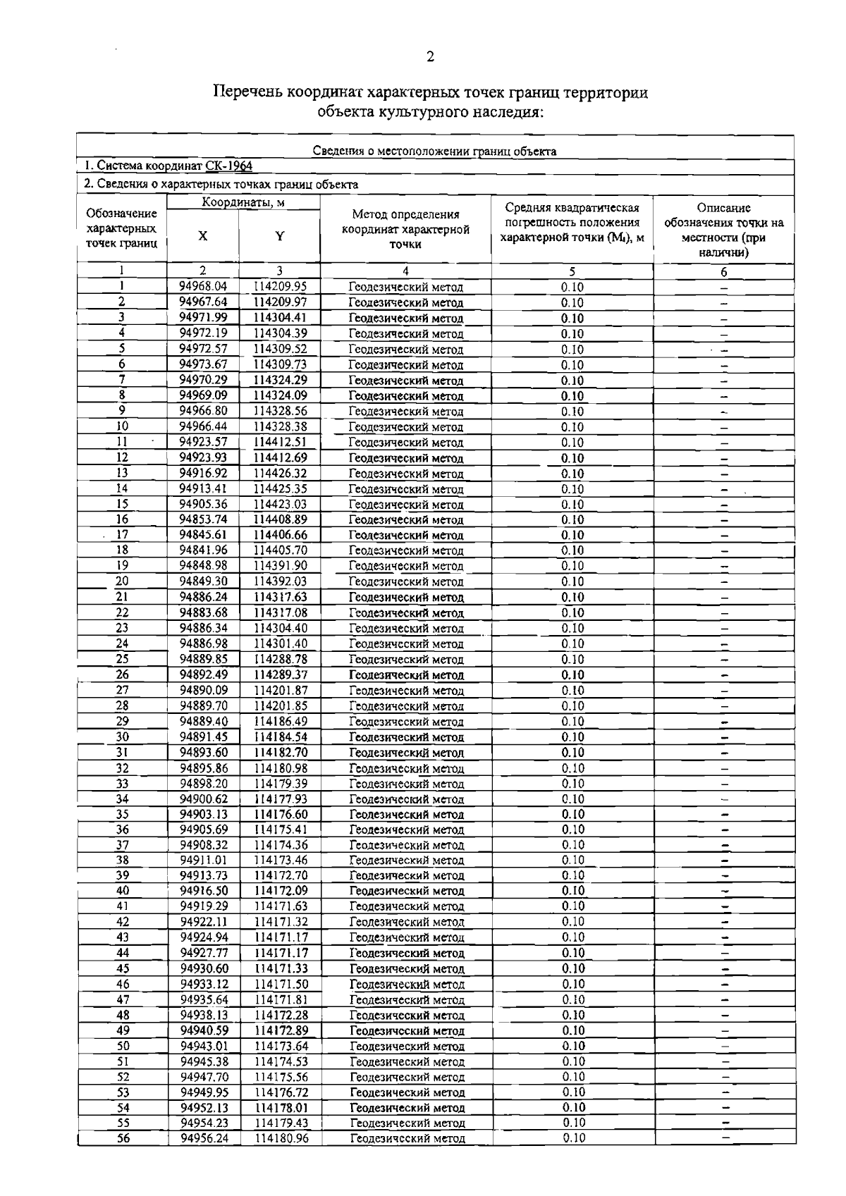
Распоряжение Комитета по государственному контролю, использованию и охране памятников истории и культуры от 15.08.2024 № 1104-рп
"Об утверждении границ и режима использования территории объекта культурного наследия федерального значения "Конюшенное ведомство, 1720-1723 гг., арх.Гербель Н.Ф., 1810 г., арх.Руска Л., 1817-1823 гг., арх.Стасов В.П., ск.Демут-Малиновский В.И."
(Зарегистрирован 15.08.2024 № 48690)
Номер опубликования: 7801202408200027
Дата опубликования: 20.08.2024
Страница №4 из 6:
Увеличить