Официальное опубликование правовых актов
ОФИЦИАЛЬНОЕ ОПУБЛИКОВАНИЕ
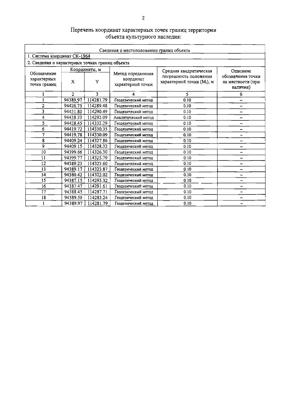
Распоряжение Комитета по государственному контролю, использованию и охране памятников истории и культуры от 15.08.2024 № 1102-рп
"Об утверждении границ и режима использования территории объекта культурного наследия федерального значения "Первое Санкт-Петербургское Общество взаимного кредита"
(Зарегистрирован 16.08.2024 № 48693)
Номер опубликования: 7801202408200016
Дата опубликования: 20.08.2024
Страница №4 из 5:
Увеличить