Официальное опубликование правовых актов
ОФИЦИАЛЬНОЕ ОПУБЛИКОВАНИЕ
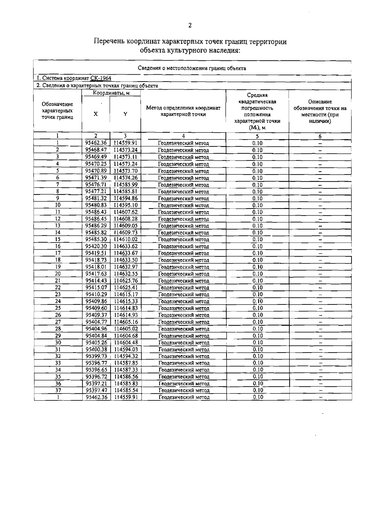
Распоряжение Комитета по государственному контролю, использованию и охране памятников истории и культуры от 14.08.2024 № 1094-рп
"Об утверждении границ и режима использования территории объекта культурного наследия федерального значения "Дом Бецкого И.И. (принца Ольденбургского П.Г.)"
(Зарегистрирован 15.08.2024 № 48682)
Номер опубликования: 7801202408200005
Дата опубликования: 20.08.2024
Страница №4 из 5:
Увеличить