Официальное опубликование правовых актов
ОФИЦИАЛЬНОЕ ОПУБЛИКОВАНИЕ
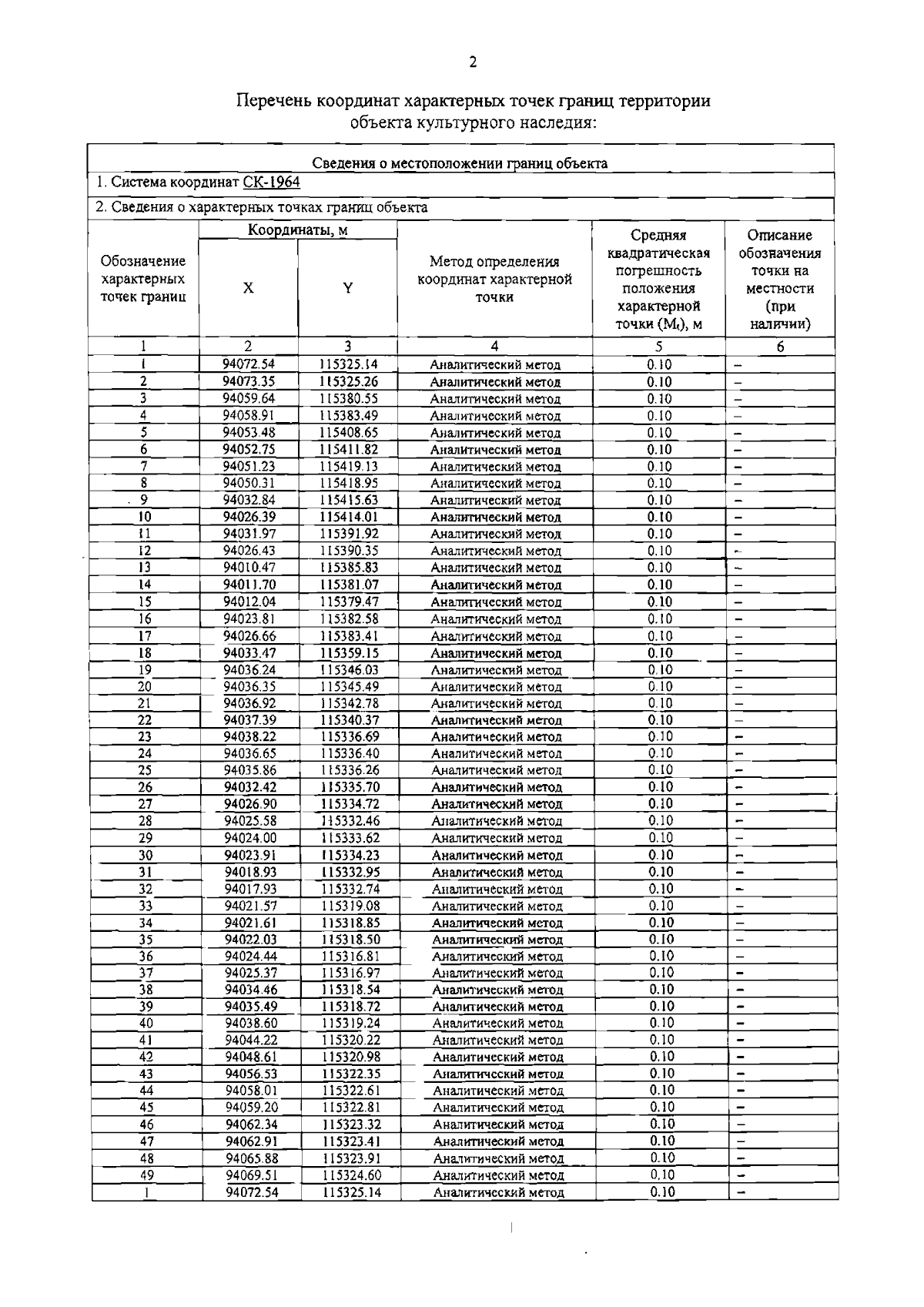
Распоряжение Комитета по государственному контролю, использованию и охране памятников истории и культуры Санкт-Петербурга от 22.07.2024 № 993-рп
"Об утверждении границ и режима использования территории объекта культурного наследия регионального значения "Дом, где жили: в 1837 г. актриса Асенкова Варвара Николаевна, до 1843 г. издатель Краевский Андрей Александрович (кв. 47), в 1842-1846 гг. революционный демократ, писатель и литературный критик Белинский Виссарион Григорьевич (кв. 55, 48, 47, 43)"
(Зарегистрирован 24.07.2024 № 48509)
Номер опубликования: 7801202407260027
Дата опубликования: 26.07.2024
Страница №4 из 5:
Увеличить