Официальное опубликование правовых актов
ОФИЦИАЛЬНОЕ ОПУБЛИКОВАНИЕ
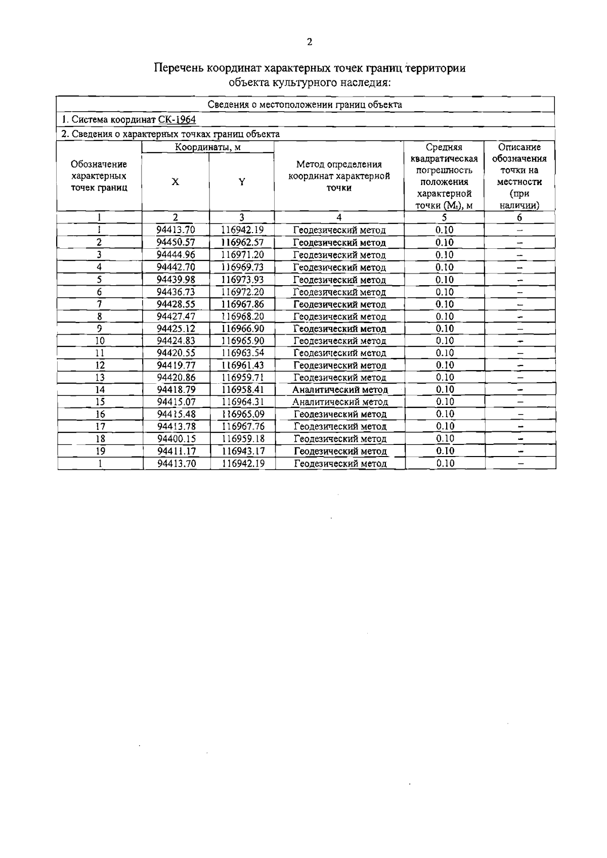
Распоряжение Комитета по государственному контролю, использованию и охране памятников истории и культуры Санкт-Петербурга от 22.07.2024 № 979-рп
"Об утверждении границ и режима использования территории объекта культурного наследия регионального значения "Дом П.П. Степнова"
(Зарегистрирован 23.07.2024 № 48488)
Номер опубликования: 7801202407250029
Дата опубликования: 25.07.2024
Страница №4 из 5:
Увеличить