Официальное опубликование правовых актов
ОФИЦИАЛЬНОЕ ОПУБЛИКОВАНИЕ
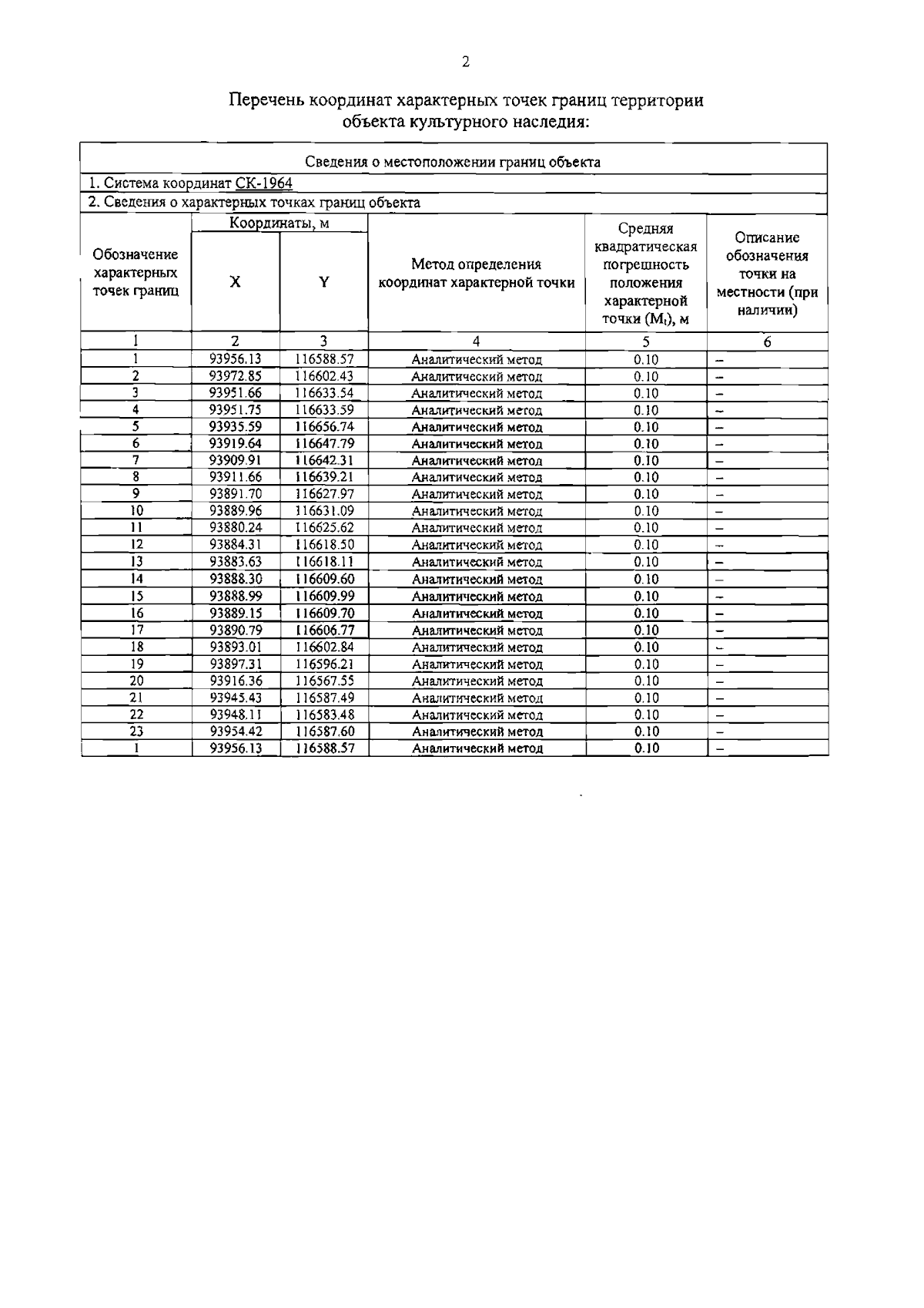
Распоряжение Комитета по государственному контролю, использованию и охране памятников истории и культуры Санкт-Петербурга от 18.07.2024 № 960-рп
"Об утверждении границ и режима использования территории объекта культурного наследия регионального значения "Училище фельдшериц и лекарских помощниц"
(Зарегистрирован 19.07.2024 № 48456)
Номер опубликования: 7801202407240013
Дата опубликования: 24.07.2024
Страница №4 из 5:
Увеличить